Find Your Style
Women
Men
Accessories
Search for clothing, brands, styles...
×
Women
Men
Accessories
Populus Tomentosa
Search
Loading...
No suggestions found
INR Full Form: What is full form of INR?
bankersadda.com
RBI Allows Overseas Banks to Open INR Accounts
currentaffairs.adda247.com
33000 euro to inr - Claim a ₹300 Bonus Today! Android IOS V- 1.79
tax.lsgkerala.gov.in
Facts about Indian businessman who is buying Lavasa city for INR 1814 ...
timesofindia.indiatimes.com
Best whiskey under INR 1500 for a pocket-friendly drinking experience
lifestyleasia.com
Indian Rupee (₹) - Buy INR Currency Online at Best Rates
makemytrip.com
usd to inr sbi rate: Latest News & Videos, Photos about usd to inr sbi ...
economictimes.indiatimes.com
Get 21+ Whiskey For INR 1850 In Bangalore | LBB
lbb.in
कोस्टा रिका - Costa Rica (1 INR = 8.65 Colon) | Navbharat Times
navbharattimes.indiatimes.com
Foodie Tour of the Sydney Opera House in Sydney from INR 15573 | Pelago
pelago.co
0.1 ETH to INR Converter, How much Convert Ethereum to Indian Rupee ...
exchanger24.org
Best Long-lasting & Non-chip Nail Polish Under INR 400 | LBB
lbb.in
Identification of Differentially Expressed lncRNAs in Response to Blue ...
mdpi.com
Identification of Differentially Expressed lncRNAs in Response to Blue ...
mdpi.com
Identification of Differentially Expressed lncRNAs in Response to Blue ...
mdpi.com
Identification of Differentially Expressed lncRNAs in Response to Blue ...
mdpi.com
Identification of Differentially Expressed lncRNAs in Response to Blue ...
mdpi.com
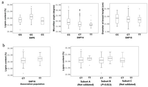
Association of Allelic Variation in PtoXET16A with Growth and Wood ...
mdpi.com
Identification of Differentially Expressed lncRNAs in Response to Blue ...
mdpi.com
Identification of Differentially Expressed lncRNAs in Response to Blue ...
mdpi.com
Association of Allelic Variation in PtoXET16A with Growth and Wood ...
mdpi.com
Association of Allelic Variation in PtoXET16A with Growth and Wood ...
mdpi.com
Association of Allelic Variation in PtoXET16A with Growth and Wood ...
mdpi.com
Association of Allelic Variation in PtoXET16A with Growth and Wood ...
mdpi.com
Association of Allelic Variation in PtoXET16A with Growth and Wood ...
mdpi.com
Association of Allelic Variation in PtoXET16A with Growth and Wood ...
mdpi.com
Anticoagulation in Acute Pulmonary Embolism: Which Drug? How Long ...
universimed.com
Comprehensive Review of the Components in Cat’s Claw (Uncaria tomentosa ...
mdpi.com
Isotopic Composition (δ15N and δ18O) of Urban Forests in Different ...
mdpi.com
Buy Populas Strip Of 10 Tablets Online at Flat 15% OFF | PharmEasy
pharmeasy.in
Bakson's Homoeopathy Populus Candicans Q Mother Tincture Price in India ...
flipkart.com
Paulownia tomentosa: तुमच्या घरी राजकुमारीचे झाड वाढवा आणि सांभाळा ...
housing.com
International Trade Settlement in Indian Rupee (INR)
taxguru.in
About Populus
populusglobal.com
India shining: Rupee inches closer to becoming international currency ...
timesnownews.com
Mirindiba Fruit Plant (Buchenavia tomentosa) – veliyathgardens
veliyathgarden.com
Herbarium JCB
indiaflora-ces.iisc.ac.in
Rose Myrtle Fruit Plant (Rhodomyrtus Tomentosa) – veliyathgardens
veliyathgarden.com
Kalanchoe tomentosa
plantsrescue.com
Kalanchoe tomentosa
plantsrescue.com
Bauhinia Tomentosa -Yellow Bell Orchid - Gabbar Farms
gabbarfarms.com
Paulownia tomentosa - Anna Paulownaboom, Anna Paulowna tree | Hortus ...
hortusleiden.gardenexplorer.org
Rose Myrtle Fruit Plant (Rhodomyrtus Tomentosa) – veliyathgardens
veliyathgarden.com
Kalanchoe tomentosa
plantsrescue.com
RK Seeds -Terminalia tomentosa Seed -Asan/Indian Laurel/Silver grey ...
amazon.in
Buy Terminalia Tomentosa, Asan - Seeds (1Kg) online at best price
plantsguru.com
Kalanchoe tomentosa
plantsrescue.com
India Flora Online
indiaflora-ces.iisc.ac.in
Rupee Depreciation: Will India's Exports Stand To Gain? | Investing.com ...
in.investing.com
Aiwo Breath Easy – Aiwo Limited
aiwo.com
How Indian Rupee Stands Against Other Major Currencies
indiatimes.com
Isotopic Composition (δ15N and δ18O) of Urban Forests in Different ...
mdpi.com
Kalanchoe tomentosa
plantsrescue.com
Aristolochia tomentosa - woolly pipevine | The Dawes Arboretum
dawesarb.arboretumexplorer.org
Spiraea tomentosa - hardhack, steeplebush | The Dawes Arboretum
dawesarb.arboretumexplorer.org
POPLAR (POPULUS DELTOIDES) FARMING (HB 1999) : K K Jha: Amazon.in: Books
amazon.in
Kalanchoe tomentosa
plantsrescue.com
Next tranche of Bharat Bond ETF opens tomorrow: 10 things on NFO | Mint
livemint.com
Usi ed effetti collaterali del warfarin: cosa devi sapere
medicoverhospitals.in
Saja Tree: Revealing the Hidden Treasures and Healing Powers of Nature ...
growbilliontrees.com
Kalanchoe tomentosa
stecklinge.net
Bauhinia tomentosa
oneflora.in
Kalanchoe tomentosa
plantsrescue.com
wrightia_tomentosa
iiim.res.in
Paulownia tomentosa 'Lilacina' - Foxglove tree | Westonbirt
westonbirt.arboretumexplorer.org
Kalanchoe tomentosa
plantsrescue.com
Back To Black: | Grazia India
grazia.co.in
Size Chart – HolyHeads
holyheads.com
Did You Know About India's Rs 10,000 Rupee Note
indiatimes.com
Sri Lanka and Russia in talks to use the rupee in foreign trade
currentaffairs.adda247.com
Coagulation Analyzer - Micropoint Q3 Pro Electrometer PT-INR Trader ...
r2healthcare.in
Tilia tomentosa | Botanical Garden - Natural History Museum, University ...
nhmbgoslo.gardenexplorer.org
Discover The Best Brands & Recommendations For Basics | LBB
lbb.in
ABOUT US
leathertalks.com
Working at Ex Populus | Glassdoor
glassdoor.co.in
Buy Antique Set Online | Antique Set by Manubhai.
manubhai.in
USD/INR forecast: Indian rupee analysis ahead of RBI decision By Invezz
in.investing.com
USD/INR Strengthens Amid CPI Data and Outflows Pressure By Kedia Advisory
in.investing.com
Fake notes worth over Rs 14 lakh in Rs 500 denominations seized in Odisha
odishatv.in
Ducati – Motoaggrandize
motoaggrandize.in
Flowering Creepers / Climbers – Seed2Plant
seed2plant.in
Coelogyne tomentosa | Royal Botanic Garden Sydney
rbgsydney.gardenexplorer.org
Plant Nursery Online Tabebuia avellanedae, Pink Trumpet Tree (Pack of 1 ...
amazon.in
How Indian Rupee Stands Against Other Major Currencies
indiatimes.com
Cotyledon tomentosa subsp. tomentosa | Stellenbosch University ...
sun.gardenexplorer.org
Hurun India 2025: 10 billionaire Indians who entered the rich list this ...
economictimes.indiatimes.com
Optimized Carbon–Nitrogen Fertilization Boosts Fragrant Rice (Oryza ...
mdpi.com
20 Stunning Haldi Ceremony Outfits & Dresses to Wear in 2025
bhasinbrothers.com
Soft Magnetic Alloys and Their Properties – Permanent Magnets Ltd
pmlindia.com
Populus: Living and Dying in the Wealth, Smoke and Din of Ancient Rome ...
amazon.in
Manubhai Jewellers | Gold & Diamond Jewellers in Borivali, Mumbai
manubhai.in
Contact – valientecaps
valientecaps.com
SonicWALL Our Products - SSM Networks Website
ssmnetworks.in
8 Obat Stroke yang Efektif dan Tersedia di Apotik - Alodokter
alodokter.com
International Trade Settlement in Indian Rupee (INR)
taxguru.in
rhodomyrtus_tomentosa.
iiim.res.in
Die wichtigsten Abstracts vom ISTH 2017 - Hämatologie - Universimed ...
universimed.com
Certifications
pasteljade.com
Rhodomyrtus tomentosa | Rose Myrtle
flowerspicture.org
editorials: Latest News & Videos, Photos about editorials | The ...
economictimes.indiatimes.com
Indian Financial System, 5e by H R Machiraju
vikaspublishing.com
Gold Necklace Set for Women | Buy Gold Necklace Set Online India ...
manubhai.in
Comprehensive Review of the Components in Cat’s Claw (Uncaria tomentosa ...
mdpi.com
Diagnosis Atrial Fibrilasi - Alomedika
alomedika.com
2260+ Flowers Images, Pictures, Photos - Page 24
desicomments.com
Size Chart
heritageofficial.com
Buy Antique Set Online | Antique Set by Manubhai.
manubhai.in
Wedding Gold & Diamond Jewellery set with Price | Buy Bridal Gold ...
manubhai.in
Tatcha Indigo Overnight Repair: Benefits & Full Review - Epicfashion
epicfashion.in
USD/INR Breaking Imp. Trendline; Is Nifty 50 Topping Out? | Investing ...
in.investing.com
Rate (INR)
erp.kohinoorpune.com
Contact – valientecaps
valientecaps.com
Samagra Shikshana Karnataka Fellowship
qb365.in
Buy Antique Set Online | Antique Set by Manubhai.
manubhai.in
Mumbai Indians: 5 players MI can release ahead of IPL 2026 auction ...
crickettimes.com
In charts: As the rupee sinks touches 80 against the dollar, what does ...
scroll.in
Failed Startups - Startups That Could Not Taste Success in their Journey
businessoutreach.in
Smart things to know about the rupee exchange rate - Smart things to ...
economictimes.indiatimes.com
Thalapathy Vijay net worth: Movie fee, properties & other luxury assets
lifestyleasia.com
Buy Gold Set Online | Gold Set by Manubhai.
manubhai.in
Related Searches
Populus Alba Tree
White Poplar Populus Alba
Populus Tomentosa Carrière
Populus Canadensis
Populus SPP
Populus Tree Species
Populus Davidiana
Populus Hybrida
Poplar Tree Fruit
Populus Nigra
Chinese Poplar Tree
Populus Tomentosa Flower
Populus Alba Pyramidalis
Populus Adenopoda
Prunus Tomentosa
Populus Tremula
Populus × Tomentosa
Populus Canescens
White Poplar Leaves
Populus Tomentosa Carr
Paulownia Tomentosa
Rhodomyrtus Tomentosa
Populus Salicaceae
Black Poplar Bark
Populus Flowers
Populus Family
Populus Ussuriensis
Aspen Bark
Populus X Canadensis
P. Tomentosa
Populus Angustifolia
Populus Tremula Erecta
Cottonwood Poplar Tree
Triploid Populus Tomentosa Plant
Populus Lasiocarpa
Populus Sieboldii
Populus Tomentosa Carr Optical Microscope
Populus Candicans
Carolina Poplar
Grey Poplar
Paulownia Arbol
Austropeplea Tomentosa
Populus Candicans Aurora
Plopulus
Populus Euphratica
Poplar Tree Leaves Identification
Cerasus Tomentosa
Populus Tristis
Quaking Aspen Tree Leaves
Balsam Poplar Leaves
Search
×
Search
Loading...
No suggestions found