Find Your Style
Women
Men
Accessories
Search for clothing, brands, styles...
×
Women
Men
Accessories
Rationalize
Search
Loading...
No suggestions found
rationalize root 3 + root 5 upon root 2 minus 1 - Brainly.in
brainly.in
Rationalize the following - Brainly.in
brainly.in
INR Full Form: What is full form of INR?
bankersadda.com
Rationalize the denominator of root 2 root 3/root2-root3 - Brainly.in
brainly.in
how to rationalize - Brainly.in
brainly.in
Rationalize 8————√11 + √7 - Brainly.in
brainly.in
5+2√3 / 7+4√3 rationalize - Brainly.in
brainly.in
rationalize 1 upon root 7 + root 3 minus root 2 - Brainly.in
brainly.in
rationalize the denominator 1 upon root 3 + root 2 + root 5 - Brainly.in
brainly.in
rationalize the denominator- 1 / square root 14 + square root 10 ...
brainly.in
rationalize the denominator of 2 upon root 3 minus root 5 - Brainly.in
brainly.in
Rationalize the denominator 12/4√3–√2 - Brainly.in
brainly.in
Rationalize : 1/√5+√7 - Brainly.in
brainly.in
rationalize the denominator 3 root 5 + root 3 by root 5 - root 3 ...
brainly.in
6 upon 9 root 3 rationalize denominator - Brainly.in
brainly.in
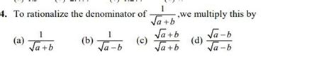
to rationalize the denominator of 1/root (a+b) we multiple this by ...
brainly.in
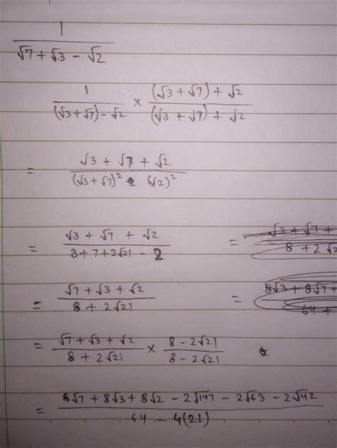
rationalize 1/root 7+root 3-root 2 - Brainly.in
brainly.in
Rationalize the denominator of 1/1+√2+√3 - Brainly.in
brainly.in
Rationalize 1/3+root 3 - Brainly.in
brainly.in
root 5 -root 5/root 5 +root 3 rationalize - Brainly.in
brainly.in
Rationalize the denominator. 2/√13-1 - Brainly.in
brainly.in
Rationalize the denominator... root 40 / root 3 - Brainly.in
brainly.in
Simplify and rationalize the denominator if necessary - Brainly.in
brainly.in
rationalize the denominator 5 + root 3 divided by 7 4 root 3 - Brainly.in
brainly.in
Rationalize the denominator of 2 - root 3 upon 2 +root 3.Solve fully ...
brainly.in
rationalize the denominator : 4/3+2√3 - Brainly.in
brainly.in
rationalize the denominator of 6/ root 5 - root 2 - Brainly.in
brainly.in
Rationalize the denominator : 2/3√8+2√18. - Brainly.in
brainly.in
Rationalize the denominator of 3 / root 7 - root 2 - Brainly.in
brainly.in
rationalize the denominator 5√2+2√5/5 √2+7 √2 - Brainly.in
brainly.in
rationalize the denominator - Brainly.in
brainly.in
rationalize the denominator of the following - Brainly.in
brainly.in
rationalize the denominator and simplify 4 root 3 by 2 - root 2 - 30 by ...
brainly.in
Rationalize the Denominators: 1+√2/√5+√2+1-√2/√5-√2 - Brainly.in
brainly.in
rationalize the denominator and simplify 4+√6/4-√3+4-√6/4+√6 - Brainly.in
brainly.in
rationalize 3 + root 2 upon 4 root 2 - Brainly.in
brainly.in
rationalize the denominator of 3 root 5 + root 3 upon root 5 minus root ...
brainly.in
rationalize the denominator 1/1 + root 5 + root 3 - Brainly.in
brainly.in
rationalize the denominator - Brainly.in
brainly.in
rationalize the denominator 3 + 2 root 5 / 3 minus 2 root 5 - Brainly.in
brainly.in
rationalize the denominator - Brainly.in
brainly.in
rationalize the denominator of 6 upon root 5 + root 2 - Brainly.in
brainly.in
Rationalize the denominator and simplify 3root2/root3+root6-(4root3 ...
brainly.in
rationalize the denominator of 1 upon 7 + 3 root 2 and second 5 upon ...
brainly.in
rationalize the denominator 5/3+root 5 -2root2 - Brainly.in
brainly.in
Top 10 Countries Where INR Has the Highest Value in 2025
currentaffairs.adda247.com
rationalize the denominator 2÷√7-√3 - Brainly.in
brainly.in
[Answered] rationalize the denominator 5+2√3/7+4√3 - Brainly.in
brainly.in
rationalize the denominator of 4 + 3 root 5 upon 4 minus 3 root 5 ...
brainly.in
QUESTION 9: Rationalize the denominators of the following: c)(√7+√6)/(√ ...
brainly.in
rationalize the denominator and simplify 1 + root 2 upon 3 minus 2 root ...
brainly.in
Rationalize the denominator of 3 / root 7 - root 2 - Brainly.in
brainly.in
Rationalize the denominator of 1 / root 7 minus root 6 - Brainly.in
brainly.in
Rationalize the denominator: root 3 -1÷root3+1 - Brainly.in
brainly.in
rationalize root 2 + root 3 / 3 root2 - 2 root3 - Brainly.in
brainly.in
Rationalize the denominator of 6 - 4√3 ÷ 6 + 4√3 - Brainly.in
brainly.in
rationalize 1/ (3+2 underoot 2 - Brainly.in
brainly.in
[Best Answer] rationalize the denominator 1 by root 7 minus root 6 ...
brainly.in
4+3√5/4-3√5 rationalize the denominator - Brainly.in
brainly.in
Rationalize the denomination of 2-√3/3√2-2√3 - Brainly.in
brainly.in
Rationalize the denominator: 1/3+√5-2√2 - Brainly.in
brainly.in
rationalize the denominator : 4/3+2√3 - Brainly.in
brainly.in
rationalize 3. 3/2-√5 - Brainly.in
brainly.in
rationalize the denominator of root 3+root 2/5+root 2 - Brainly.in
brainly.in
rationalize the denominator 14/5√3-√5 - Brainly.in
brainly.in
rationalize the denominator of 2/root 3-root 5 rationalize the ...
brainly.in
Rationalize the denominator of 1/√3-√5 - Brainly.in
brainly.in
6+√5 by 6-√5 rationalize - Brainly.in
brainly.in
rationalize the denomination:- - Brainly.in
brainly.in
rationalize the denominator - Brainly.in
brainly.in
rationalize the denominator of 1 by root 6 + root 5 minus root 11 ...
brainly.in
rationalize the denominator of 1/√2+√3-√5 - Brainly.in
brainly.in
simplify 6 - 4 under root 3 / 6 + 4 under root 3 by rationalize the ...
brainly.in
rationalize the denominatior (5+√2)/(4-√2) - Brainly.in
brainly.in
rationalize the denominator of 1/ root3 - root2 - Brainly.in
brainly.in
Rationalize the equation (14√3-5√2)/(4√3-3√2) - Brainly.in
brainly.in
rationalize the denominator of 1 upon root 9 - root 8 - Brainly.in
brainly.in
Rationalize 3√2/√8+√5 - Brainly.in
brainly.in
rationalize the denominator of 6 upon 3 root 2 - 2 root 3 - Brainly.in
brainly.in
rationalize the denominator 2/ ( under root 7 + under root 5 ) - Brainly.in
brainly.in
Rationalize the denominator 3 upon 4 root 5 - Brainly.in
brainly.in
Rationalize the denominator √5+√2/√5-√2 - Brainly.in
brainly.in
rationalize the denominator 1 + root 2 upon 2 minus root 2 - Brainly.in
brainly.in
[Best Answer] rationalize the denominator 5 by root 3 minus root 5 ...
brainly.in
rationalize the denominator 5 + root 3 by 5 minus root 3 - Brainly.in
brainly.in
Understanding the Saudi Riyal Currency | INR to SAR
orientexchange.in
Anand Kamalnayan Pandit — INR 8,660 Cr (Sri Lotus Developers & Realty ...
economictimes.indiatimes.com
BTC to INR Converter, Convert Bitcoin to INR Exchange 2022 - Exchanger24
exchanger24.org
Facts about Indian businessman who is buying Lavasa city for INR 1814 ...
timesofindia.indiatimes.com
India and Malaysia can now trade in Indian rupee
currentaffairs.adda247.com
How Indian Rupee Stands Against Other Major Currencies
indiatimes.com
USD/INR Cracks Big: Falls 2% in 4 Days! | Investing.com India
in.investing.com
1 million dong in indian rupees - Brainly.in
brainly.in
India shining: Rupee inches closer to becoming international currency ...
timesnownews.com
How to be Mindful about Justification, Rationalization ...
matrrix.in
USD/INR Breaking Imp. Trendline; Is Nifty 50 Topping Out? | Investing ...
in.investing.com
Simplify the following by rationalizing the denominator 7 root 3 minus ...
brainly.in
under root 6 divided by under root 2 plus under root 3 - Brainly.in
brainly.in
Indian Financial System, 5e by H R Machiraju
vikaspublishing.com
Simplify by rationalizing the denominator 2√3 -√2 --------------- 2√3 ...
brainly.in
Simplify the following expression (6-4riot2 by 6+4root2 - Brainly.in
brainly.in
simplify by rationalizing the denominator:√7-√5/√7+√5 - Brainly.in
brainly.in
simplify the following by rationalizing the denominator 4+ root 5 /4 ...
brainly.in
simplify by rationalizing the denominator of 6 minus 4 root 3 upon 6 ...
brainly.in
simplify by rationalizing the denominator of 6 minus 4 root 3 upon 6 ...
brainly.in
write the rationalizing factor of 1/(√7-3) - Brainly.in
brainly.in
28. Simplify √5-1 √5+1 √5+1 √√5-1 by rationalizing the denominator ...
brainly.in
Anticoagulation in Acute Pulmonary Embolism: Which Drug? How Long ...
universimed.com
[tex]6 \div 3 \sqrt{24} [/tex]Rationalize the denominator - Brainly.in
brainly.in
Failed Startups - Startups That Could Not Taste Success in their Journey
businessoutreach.in
The rationalizing factor of - Brainly.in
brainly.in
rationalizing the denominator root 7 minus root 5 by root 7 + root 5 ...
brainly.in
Rationalizing factor for root 17 - Brainly.in
brainly.in
Rupee Depreciation: Will India's Exports Stand To Gain? | Investing.com ...
in.investing.com
“A good demo is critical because investors, fall in love with the ...
startuppedia.in
International Trade Settlement in Indian Rupee (INR)
taxguru.in
Wen Price | WEN to USD Converter, Chart and News
binance.com
Online Forex Trading And Currency Trading In India
samco.in
Uses and SideEffects of Warfarin: What You Need to Know
medicoverhospitals.in
Coagulation Analyzer - Micropoint Q3 Pro Electrometer PT-INR Trader ...
r2healthcare.in
Related Searches
Rationalize Meaning
Rationalize Numerator
Rationalize in Math
Rationalize Denominator
Define Rationalize
How to Rationalize the Numerator
Rationalize Example
Rationalize Definition
Rationalize Numbers
Rationalize the Denominator and Simplify
Rationalizing
Rationalize Synonym
Rational Denominator
Rationalize the Radical
Rationalize Fractions
Rationalize the Numerator Worksheet
Rationalize Denominator Examples
Rationalize Literature
Rationalize Def
Rationalize Exercise
Rationalization Math
ماهي طريقه Rationalize
Rationalize Cartoon
Urainalize
Rationalize Questions
Why Do We Rationalize the Denominator
How to Rationalize an Expression
Rationalizing Roots
Rationalisation
How Do You Rationalize a Fraction
Rationalize the Numorator
Square Root in Denominator
What Does Rationalize the Denominator Mean
Rationalize a Curve
Rationalize Print
Rationalize Binomial Denominators
Rationalizing Expressions
What Does It Mean to Rationalize in Math
How to Rationalize Denominator with Radicals
How to Rationalize a Number
Rationalize vs Conjugate
Rationalize and Optimize
Rationalize Logo
Demonator
Rationalize in Business
Rules for Rationalizing
Rationalize Square Root of 3
Rationalization Psychology
Rationalize in Text
Optimize Harmonize Rationalize
Search
×
Search
Loading...
No suggestions found