Find Your Style
Women
Men
Accessories
Search for clothing, brands, styles...
×
Women
Men
Accessories
Renter Email List
Search
Loading...
No suggestions found
INR Full Form: What is full form of INR?
bankersadda.com
Fillable Online INR Application Form.doc Fax Email Print - pdfFiller
pdffiller.com
Fillable Online How to Use CoaguChek XS for INR Monitoring - YouTube ...
pdffiller.com
Fillable Online INR Application Form.doc Fax Email Print - pdfFiller
pdffiller.com
Fillable Online HOME INR MONITOR AGREEMENT - PatientPop.com Fax Email ...
pdffiller.com
Fillable Online APPLICATION FOR INR FUND TRANSFER (RTGS) FORM Fax Email ...
pdffiller.com
Fillable Online Certified CoaguChek INR Testing Centre Contract Fax ...
pdffiller.com
Melbet India Sports Betting Online - 100% Bonus Up to 20,000 INR | Login
melbet.org.in
Fillable Online Rev 01 Unit F.O.R PRICE (2) INR INCL PACKING, Freight ...
pdffiller.com
Fillable Online PROTIME AND INR Fax Email Print - pdfFiller
pdffiller.com
Fillable Online fill in the blank inr form Fax Email Print - pdfFiller
pdffiller.com
Fillable Online Acelis inr form Fax Email Print - pdfFiller
pdffiller.com
INR 250 Steam Wallet Code(Digital Code-Email Delivery within 2 hours ...
amazon.in
Fillable Online Coumadin Dosing Algorithm For INR of 2-3 Fax Email ...
pdffiller.com
Fillable Online Tender Fee: INR 200 Only Fax Email Print - pdfFiller
pdffiller.com
INR North CLUB House Bought OUT Furniture LIST Vizag - NORTH CLUB HOUSE ...
studocu.com
SANYEE Valve Corporation Inr 175 Steam Wallet Code (Digital Code- Email ...
amazon.in
Fillable Online inr oregonstate Heritage Ranking Form - State Rank ...
pdffiller.com
CSK Retention List IPL 2026: Full list of players retained by Chennai ...
sportskeeda.com
Fillable Online RENTER INFORMATION RENTAL DETAILS FACILITY REQUEST ...
pdffiller.com
Fillable Online hrcaonline Renter Information Form - hrcaonlineorg Fax ...
pdffiller.com
Fillable Online lasmny Renter's Rights - lasmny Fax Email Print - pdfFiller
pdffiller.com
Export CRM Contact List Data in 3 Easy Steps | MainBrainer
mainbrainer.com
Fillable Online Renter Utility Service Contract Fax Email Print - pdfFiller
pdffiller.com
Fillable Online m essec Passport FIRST-TIME RENTER - m essec Fax Email ...
pdffiller.com
Fillable Online Renter Utility Service Contract Fax Email Print - pdfFiller
pdffiller.com
Fillable Online City of North Pole Renter Utility Service Contract ...
pdffiller.com
Fillable Online essec Application form first-time renter - ALEGESSEC ...
pdffiller.com
18 Printable Rental Inspection Checklist Forms and Templates - Fillable ...
pdffiller.com
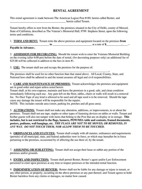
Fillable Online This rental agreement is made between The American ...
pdffiller.com
Fillable Online HOME INTERNATIONAL NORMALIZED RATIO (INR) MONITORING ...
pdffiller.com
Fillable Online Renter Application for Utility Service - Centennial ...
pdffiller.com
Fillable Online RENT REASONABLENESS ASSESSMENT DATA SHEET Fax Email ...
pdffiller.com
Fillable Online RENTER Information Form Fax Email Print - pdfFiller
pdffiller.com
Fillable Online PWC Renter Orientation Checklist - 0618 Fax Email Print ...
pdffiller.com
Fillable Online Renter Information Sheet - The Engine Room Fax Email ...
pdffiller.com
Fillable Online Dear Potential Renter: Fax Email Print - pdfFiller
pdffiller.com
ಬಾಡಿಗೆ ರಶೀದಿಯ ಸ್ವರೂಪ | Housing News
housing.com
Fillable Online Owner Renter Registration Form - liveoakvillagescom Fax ...
pdffiller.com
GST on Residential Rent from 18th July 2022
taxguru.in
Fillable Online renter registration form Fax Email Print - pdfFiller
pdffiller.com
Fillable Online THE GALLEON RENTER APPLICATION Fax Email Print - pdfFiller
pdffiller.com
Fillable Online Renter Check InCheck Out Form Fax Email Print - pdfFiller
pdffiller.com
Buy Rental Application Approval Letter Template, Rental Application ...
etsy.com
Fillable Online Renter's Agreement Fax Email Print - pdfFiller
pdffiller.com
Car Rental in Goa - Self Driven Car Rental in Goa - Rent Car in Goa
rentcaringoa.co.in
Fillable Online COVID-19 Renter Protections Fact Sheet Fax Email Print ...
pdffiller.com
Find email id and split the domain name from a given list in R|S-Logix
slogix.in
Landlords Inspection Checklist Tentant Move Out - Fill Online ...
pdffiller.com
SIGN EVER™ House for Rent 3mm Sign Board with Custom Contact Number ...
amazon.in
2014 Form WI I-017i Fill Online, Printable, Fillable, Blank - pdfFiller
rent-certificate.pdffiller.com
RENTERS INSURANCE REQUIREMENT - DFpeoplecom - Fill and Sign Printable ...
uslegalforms.com
Rental Application Denial Letter - Fill and Sign Printable Template Online
uslegalforms.com
Examples based on ER Diagram - Databases Design - Database Management ...
cse.poriyaan.in
Fillable Online NEW RENTER(s) PACKET CHECKLIST Fax Email Print - pdfFiller
pdffiller.com
Fillable Online Cape Cod Ready Renter Program Fax Email Print - pdfFiller
pdffiller.com
shop rent agreement format in word Templates - Fillable & Printable ...
pdffiller.com
Fillable Online 72 Hour Notice for Nonpayment of Rent Fax Email Print ...
pdffiller.com
Flats for Rent in , Noida Noida - NoBroker
nobroker.in
Fillable Online RENTER MEMBERSHIP TRANSFER FORM Fax Email Print - pdfFiller
pdffiller.com
Tutorial > Tutorial 5: Edit recipient lists
manuals.jam-software.com
Fillable Online HIDDEN MEADOWS HOMEOWNERS ASSOCIATION RENTER CENSUS ...
pdffiller.com
sample letter to tenant to pay rent on time Forms and Templates ...
pdffiller.com
Fillable Online All Division of Recreation and Parks ContentFlorida ...
pdffiller.com
Lena flats Tambaram Rent - WITHOUT BROKERAGE Semi-furnished 2 BHK ...
nobroker.in
BC-Renter- Doc Template | pdfFiller
pdffiller.com
iReset – Ekam
itranscends.com
Fillable Online twcrichmond THE BOLLING HAXALL HOUSE RENTER INFORMATION ...
pdffiller.com
Fillable Online mn Renter-Occupied Rehabilitation Guide: A Step-By ...
pdffiller.com
Fillable Online washco utah TC-40CB, Utah Renter Refund Application ...
pdffiller.com
Fillable Online Cosmetology Booth Renter Application (3/2020) Page 1 of ...
pdffiller.com
1 million dong in indian rupees - Brainly.in
brainly.in
Price List Feb 22 - Rim SKU SKU Description Type NBP Tyre (INR) NBP ...
studocu.com
Avoiding junk fees as a renter
azfamily.com
Fillable Online Renter/Tenant Complaint Form - McFarland, WI Fax Email ...
pdffiller.com
Georgia laws about landlord trespassing, renter rights | Macon Telegraph
macon.com
Fillable Online The Renter Toolkit: - Workforce Services - Utah.gov Fax ...
pdffiller.com
Fillable Online Renter's Handbook (formerly Information for Tenants ...
pdffiller.com
Fillable Online COMMERCIAL LEASE AGREEMENT - E-Renter Fax Email Print ...
pdffiller.com
Email Marketing: The Ultimate Guide (Expert Tips + Data to Know) - Blog
appsmanager.in
India and Malaysia can now trade in Indian rupee
currentaffairs.adda247.com
BBB 274 Silver Swivel Trigger Lobster Clasp - Keychain Clasp( 1 pc ...
shascollections.com
Fillable Online Tenant-Renter Complaint Form Fax Email Print - pdfFiller
pdffiller.com
Fillable Online tenant/renter affidavit Fax Email Print - pdfFiller
pdffiller.com
Fillable Online Aircraft Renter Information - Air Associates of Kansas ...
pdffiller.com
Petition · NO RENT DURING COVID-19 PANDEMIC - India · Change.org
change.org
Fillable Online Temporary Renter Transfer Elite Membership ...
pdffiller.com
Fillable Online rusa-or Renter Authorization Form - rusa-or Fax Email ...
pdffiller.com
Rupee To Replace Dollar? Indian Money Nearer To Become International ...
zeenews.india.com
Fillable Online Pontoon Boat Rental Agreement - Douglas Lake Pontoon ...
pdffiller.com
India shining: Rupee inches closer to becoming international currency ...
timesnownews.com
JEEPL-TOLET1BHK SIGN BOARD |GENERAL SIGN BOARD|TOLET FOR SINGLE BED ...
amazon.in
22 Tips to Write Catchy Email Subject Lines [+ Examples] - Blog
appsmanager.in
Email List Cleaning | Email List Scrubbing
blog.bouncify.in
Fillable Online www.turtlelakegolfcolony.comwp-contentuploadsANNUAL ...
pdffiller.com
Payment Rent Notice - Fill Online, Printable, Fillable, Blank | pdfFiller
pdffiller.com
Fillable Online Long Bay Golf Cart Waiver for Renter Fax Email Print ...
pdffiller.com
9Winz – Official Casino in India for Online Gambling
9-winz.in
ROCKY RIVER CAMPGROUND (Flinders Chase) - Campground Reviews & Photos ...
tripadvisor.in
Fillable Online Free Tenant (Renter) Background Check Form ...
pdffiller.com
Fillable Online City of East Helena Renter Authorization Form Fax Email ...
pdffiller.com
Renter accused of killing landscaper sent by landlord to trim trees in ...
wbtv.com
Room On Rent In Shakarpur Delhi | Furnished Room On Rent For Girls
shreedurgapg.in
Fillable Online PT/INR Patient Self-Testing & Clinical Services Fax ...
pdffiller.com
Implemet source code for what is List in R | S-Logix
slogix.in
Fillable Online Form PR-141 "Vermont Renter Rebate Claim" - Vermont Fax ...
pdffiller.com
Statement Of Rent Paid - Fill Online, Printable, Fillable, Blank ...
pdffiller.com
Costumes – Passion Plays
passion-plays.myshopify.com
scrapbook stickers printable – WOOPME
woopme.com
Fillable Online floydcountyfair.orgpdf04/15/20Little Red Barn Rental ...
pdffiller.com
Orchids Soap / Sanitizer Dispenser
getorchidshygiene.com
Bouncify Blog
blog.bouncify.in
Fillable Online Home Buyer, Homeowner and Renter Success Story Form Fax ...
pdffiller.com
4 insanely expensive properties in Mumbai available on rent for Rs 5 ...
gqindia.com
A Day Exploring Bhopal - Plantrip
plantrip.io
"I have been selected for the Data Analytics Trainee position at ...
glassdoor.co.in
SBI Bank Holidays 2025
cleartax.in
Rental Agreement Format in Hindi | रेंट एग्रीमेंट प्रारूप (डाउनलोड ...
nocriminals.org
Orchids Soap / Sanitizer Dispenser
getorchidshygiene.com
Price List - Ok gy yu hujb yu huh - S. Product Denomination (gm) Price ...
studocu.com
Related Searches
Do Not Rent List
Tenant List
Move in Checklist for Renters
Landlord Tenant Checklist Template
Check Out List Template
Tenant Rental Application Form
Rental Property Checklist
Renters Insurance Policy
Holiday Packing List Template Word
Rental Inspection Checklist
Renters Insurance Statistics
Landlord Tenant Checklist Free
Landlord Apartment Inspection Checklist
Rental Walk through Form
Home Inspection Checklist Template
Tenancy List
Living Will Checklist
Rental Inventory Template
Good Tenant List
Beach Vacation Packing List
Renters Mailing List
Moving Out of Parents House Checklist
Items for New Renters
Free Printable Rental Walk Through Checklist
Free Printable Rent Receipt Template
Renter Email List
Rentober Lists
List Event Rentals
List for Tennants
FREE. Rent Statement Template
Search
×
Search
Loading...
No suggestions found