Find Your Style
Women
Men
Accessories
Search for clothing, brands, styles...
×
Women
Men
Accessories
Roblox Number 7 Png
Search
Loading...
No suggestions found
RBI Allows Overseas Banks to Open INR Accounts
currentaffairs.adda247.com
About BNI | English (IN)
bni-navsari.in
PKV | TROX INDIA PRIVATE LIMITED
trox.in
Vastu expert in punjab | Home
astroexpert.org
10 Scary Roblox Games You Need to Check Out
msn.com
Five Nights At Freddy's Sex Game Private Collection Updates #863
superadmin.kalaignarcentenarylibrary.tn.gov.in
Sonny Liston, Tiger Woods, Phil Jackson top greatest debates in sports ...
espn.in
Maillot Ronaldo Al Nassr Enfant 2023 – Foot Sport, 50% OFF
iiitl.ac.in
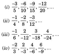
Decimal expansion of rational numbers — lesson. Mathematics State Board ...
yaclass.in
Money Laundering – Layering - Getlegal India
getlegalindia.com
5 Things to Keep In Mind Before You Buy Trimmer Online – Bombay Shaving ...
bombayshavingcompany.com
Reserve Bank of India - Homepage
paisaboltahai.rbi.org.in
Decimal expansion of rational numbers — lesson. Mathematics State Board ...
yaclass.in
a man purchases as certain number of oranges at a rupee 4 and the same ...
brainly.in
ap scert 10th class maths lesson 1 Real Numbers
manabadi.co.in
Manhar has some 10 rupee notes and some 20 rupee notes. The number of ...
brainly.in
Mahesh has 2000 rupee notes 10 less than 500 rupee notes. If the total ...
brainly.in
India Definitive Set of 17 Different Definitive Stamps Mint Non HINGED ...
amazon.in
cbse ncert 10th class Chapter 1 Real Numbers
manabadi.co.in
4. I have some five rupee coins and some two rupee coins. The number of ...
brainly.in
17 Security Features Of The New Currency Note of Rs.2000 | Sanjay Matai ...
blog.wealtharchitects.in
TRADITIONALSHOPPE OLD INDIA COIN - ONE RUPEE Medieval Coin Collection ...
flipkart.com
I have a total of 300 in coins of denomination 1 Rupee and 2 rupee and ...
brainly.in
ravi has total of rs. 29 in 5 rupee and 2 rupee denominations. the ...
brainly.in
A man bought a number of pine-apples, half of them at 2 a rupee and ...
brainly.in
NCERT Solutions for Class 7 Maths Chapter 9 Rational Numbers - Amresh ...
amreshacademy.in
A sum of rupees 8400 is made up of 50, 20, 10 and 5 rupee note. the ...
brainly.in
A man bought some toffees at 3 for a rupee and an equal number at 2 for ...
brainly.in
a piggy bank contains Rupee 1 coins, rupee two coins, rupee 5 coins and ...
brainly.in
ap scert 10th class maths lesson 1 Real Numbers
manabadi.co.in
ravi has total of rs. 29 in 5 rupee and 2 rupee denominations. the ...
brainly.in
Related Searches
Roblox Number 7 PNG
Number 7 Roblox Design
House Number 7 Roblox
Roblox Cake Topper Number 7
Roblox Number 7 Color Blue
Number 7 Roblox Theme
Roblox Red Number 7
Roblox Number 4
Roblox Number 6
Roblox Number 11
Number 50 Roblox Badge
Roblox Backdrop Printable Number 7
Roblox Number 1
Roblox Number 7 Transparent
Roblox Girl Number 7
Roblox Number 2
Roblox Number Template
Roblox Number 12 Design
Roblox Number 5
Numero 7 Roblox
Roblox Number Songs
Roblox Number 3
Roblox Birthday Banner
Roblox Number 10 No Background
Roblox Number 9
Roblox Number 8
Number 7 Graphics
Number 7 Roblox Pink
NU 7 Roblox
Roblox Number 7 Outline
Guest On Roblox
Roblox Series 7
Roblox Numbers Printable
Roblox Karelia The Smiler
Roblox Standee
Roblox 6 AM
Roblox Numbers Font
Candle Roblox
Happy 8th Birthday Roblox
Roblox Seven
07 Roblox
Roblox Number 6 Colouring Picture
Roblox Cake Gear
Roblox Birthday Party Invitations
Roblox Character Cake Topper
Roblox Number Logo
7th Roblox
Roblox Nubert
Roblox Car
Roblox Cake Topper Printable Free
Search
×
Search
Loading...
No suggestions found