Find Your Style
Women
Men
Accessories
Search for clothing, brands, styles...
×
Women
Men
Accessories
Secant Equivalent
Search
Loading...
No suggestions found
Convert INR To Dirham: Top Currency Exchange Spots And More
traveltriangle.com
The value of sec 30 degree is equal to - Brainly.in
brainly.in
Trigonometric Table: Formula, Value, Chart, PDF
adda247.com
1 + sec theta upon sec theta is equals to sin square theta upon 1 minus ...
brainly.in
How Sensex, US dollar, 10-year G-sec performed during week ending May ...
economictimes.indiatimes.com
Equivalent Resistance Formula, Definition, Series, Parallel
pw.live
1 by sec a - 1 + 1 by sec a + 1 is equal to 2 cosec cot a prove that ...
brainly.in
Prove that tan a upon 1 + sec a - 10 upon 1 minus 1 is equal to 2 cosec ...
brainly.in
Important Definitions and Formulas: Introduction to Trigonometry ...
edurev.in
Tan cube theta - 1 / tan theta - 1 = sec square theta + tan theta 1 ...
brainly.in
Solved: Identify the value of a and the length of each secant segment ...
gauthmath.com
Reliance Sec-R-07042016 - Reliance Securities Limited Instrument Amount ...
studocu.com
Secant Square X Formula, Derivation, Solved Examples
pw.live
show that tan to the power 4 theta + tan square theta = sec to the ...
brainly.in
tan squared theta + cot squared theta + 2 is equal to sec square theta ...
brainly.in
If cos theta + sec theta equal to 5 by 2 then cos square theta + sec ...
brainly.in
Differentiation of Sec x, Formula, and Examples
adda247.com
cosecant square theta + secant squared theta is equal to cosec squared ...
brainly.in
prove thattan square theta + cot square theta + 2 is equal to sec ...
brainly.in
If cos theta is equals to one by two then find the value of to secant ...
brainly.in
if secant theta minus tan theta is equal to 3 then find sin theta ...
brainly.in
(Cosec theta - sin theta) (sec theta - cos theta) equal to 1 tan theta ...
brainly.in
Differentiation of Sec x, Formula, and Examples
adda247.com
prove that 1 by secant theta minus tan theta minus one by cos theta is ...
brainly.in
1 - sin a upon 1 + sin in the whole root is equal to sec a - tan a ...
brainly.in
if tan theta is equal to 5 / 12 find the value of secant theta - Brainly.in
brainly.in
prove that 1 upon sec theta minus tan theta is equal to sec theta plus ...
brainly.in
secant theta minus tan theta whole square is equal to 1 minus sin theta ...
brainly.in
prove that sec power 4 theta minus sec squared theta is equal to tan ...
brainly.in
if sin theta equal to 1 by 3 evaluate cos theta into cosec theta + tan ...
brainly.in
Is secant theta + tan theta is equal to 1 by 3 then secant theta minus ...
brainly.in
1 upon 1 + sin theta + 1 upon 1 minus sin theta is equal to 2 sec ...
brainly.in
Differentiation of Tan Inverse x - Explanation, Formula, Examples
adda247.com
Prove that secant theta - tan theta divided by secant theta + tan theta ...
brainly.in
If secant theta + tan theta is equal to p then prove that sin theta is ...
brainly.in
1 - sin theta / 1 + sin theta is equal to sec theta minus tan theta ...
brainly.in
if we express secA in form of sinA then sec A is equal to - Brainly.in
brainly.in
prove that tan theta by secant theta secant theta minus 1 minus sin ...
brainly.in
tan theta + sin theta by tan theta minus sin theta is equal to secant ...
brainly.in
under root secant squared theta + cosec square theta is equal to tan ...
brainly.in
2 x is equal to secant and 2 by x is equal to 10 find 2 into x square ...
brainly.in
In the figure below, P, Q and R are points on a circle with centre O ...
edurev.in
if tan if tan theta is equal to 7 by 24 then find the value of secant ...
brainly.in
if two cot theta minus 1 is equal to zero then find sin theta cos theta ...
brainly.in
Secant theta + tan theta + 1 divided by sin theta minus 10 theta + 1 is ...
brainly.in
sin theta * tan theta divided by 1 - cos theta is equal to 1 + secant ...
brainly.in
prove that under root 1 + sin theta upon 1 minus sin theta is equal to ...
brainly.in
root of 1 + sin a by root 1 minus sin a is equal to sec a plus tan a ...
brainly.in
Finding roots by Secant-Method
vlab.andcollege.du.ac.in
under root secant squared theta + cosec square theta is equal to tan ...
brainly.in
10. If cos A = 3/5 then sec(A) - tan A is equal to - Brainly.in
brainly.in
1 + tan^2A1 + cot^2A is equal to A.tan^2 A B.sec^2 A C.cos A D.sin A ...
brainly.in
Sin A minus Cos A + 1 / Sin A + Cos A minus 1 equal to 1 by sec a minus ...
brainly.in
[Expert Verified] Prove that root of 1 + sin a / 1 - sin a is equal to ...
brainly.in
Tan theta plus sec theta minus one by tan theta plus sec theta plus one ...
brainly.in
prove that 1 + cos theta ÷ 1 - cos theta is equal to cos secant theta ...
brainly.in
prove that 1 + tan theta the whole square + 1 + cot theta the whole ...
brainly.in
cos theta is equal to 2 by 3 find the value of secant theta minus 1 by ...
brainly.in
prove that root sec square theta + cosec square theta is equal to tan ...
brainly.in
tan/sec-1 + tan/sec+1 is equal to - Brainly.in
brainly.in
prove that sin theta minus cos theta + 1 / sin theta + cos theta minus ...
brainly.in
prove that Sin A + cosec a whole square + cos a+ secant a whole square ...
brainly.in
if cot A = √3, then sec^2 - cos^2 A is equal to ________ - Brainly.in
brainly.in
sec theta multiplied by 1-sin theta multiplied by sec theta plus tan ...
brainly.in
square root of 1 minus sin theta by 1 + sin theta is equal to secant ...
brainly.in
prove that sin a by secant a + tan a - 1 + Cos A by co secant A + cot a ...
brainly.in
if sec theta tan theta is equal to K then prove that sin theta equal to ...
brainly.in
sec theta minus tan theta the whole square equal to 1 minus sin theta ...
brainly.in
If sec a/ sec b = m and a sec/ cosec b = n then m2 + n2 is Equal to ...
brainly.in
square root of 1 minus sin theta by 1 + sin theta is equal to secant ...
brainly.in
If sec x + tan x=p, then sec x is equal to (A)p square-1/p (B)p square ...
brainly.in
sin theta into 1 + tan theta + cos theta into 1 + cot theta is equal to ...
brainly.in
prove that tan theta by secant theta secant theta minus 1 minus sin ...
brainly.in
sec A+ tan A = 2 then sec A is equal to - Brainly.in
brainly.in
secA- 1 / sec a + 1 is equal to COT A minus Cosec A ka whole square ...
brainly.in
if tan theta is equal to 5 by 12 then find sec theta and cosec theta ...
brainly.in
if sec a minus tan a is equal to 4/3 , find sec a plus tan a - Brainly.in
brainly.in
secant theta minus tan theta whole square is equal to 1 minus sin theta ...
brainly.in
If 7 sin squared theta + 3 cos squared theta is equal to 4 then find ...
brainly.in
prove that sin theta minus cos theta + 1 divided by sin theta + cos ...
brainly.in
Prove that secant theta - tan theta divided by secant theta + tan theta ...
brainly.in
1 by sec theta + tan theta is equal to 1 minus sin theta divided by cos ...
brainly.in
Secant a tan a minus sin a equal to 1 sin a / cos a whole square ...
brainly.in
prove that sin theta minus cos theta + 1 upon sin theta + cos theta ...
brainly.in
alpha + beta is equal to pi by 2 prove that sec alpha + sin beta by sin ...
brainly.in
If sec∅=m and tan∅= n, then 1/ m {(m+n) + 1/(m+n) }is equal to - Brainly.in
brainly.in
When copper sulphate solution is electrolysed in a copper voltameter ...
tardigrade.in
if sec theta + tan theta is equal to X then find sec theta - Brainly.in
brainly.in
Sin a bracket 1 + tan a + cos a bracket 1 + cot a equal to sec a ...
brainly.in
A piece of wire of resistance R is cut into three equal parts. These ...
iqclasses.in
Trigonometry Table, Chart, Functions, Values and Formulas
careerpower.in
prove that tan theta minus cot theta by sin theta cos theta equal to ...
brainly.in
If sin theta + tan theta=x, then sec theta is equal to?please provide ...
brainly.in
if tan theta is equal to root 3 then sec theta is equal to - Brainly.in
brainly.in
if sin theta + cos theta equal to P and secant theta + cosec theta ...
brainly.in
tan theta is equal to 5 by 12 find the value of secant theta - Brainly.in
brainly.in
1 + tan squared theta by 1 + sec theta is equal to sec theta prove it ...
brainly.in
tan a is equal to 12 / 5 find the values of sec a and sin a - Brainly.in
brainly.in
117.Express the sum of tane theta and cot theta is equal to the product ...
brainly.in
If cos theta is equal to 2 upon 3 find the value of 2 sec square theta ...
brainly.in
prove that tan theta minus sec theta plus one by tan theta plus sec ...
brainly.in
Sin theta + cos theta into tan theta + cot theta is equal to sec theta ...
brainly.in
(cosec -sin)(sec-cos)=1/tan+cot - Brainly.in
brainly.in
prove that the rate of convergence of secant method in golden ratio ...
brainly.in
If sin theta= x and sec theta= y then find the value of tan theta ...
brainly.in
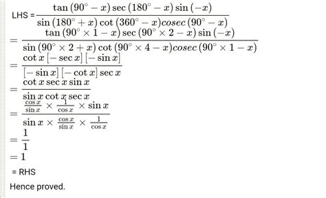
tan (90-x) .sec(180-x).sin (-x) \ sin( 180+x) .cot (360-x).(cosec (90+x ...
brainly.in
cos theta by 1 minus sin theta + cos theta by 1 + sin theta is equal to ...
brainly.in
prove that Cos A minus Sin A + 1 divided by Cos A + Sin A minus 1 is ...
brainly.in
root of sec square theta + cosec square theta is equal to sec theta ...
brainly.in
8 Countries Where Rupee Is Stronger; Indonesian Rupiah, Riel, SLR ...
goodreturns.in
[Solved] (sec square theta - 1) ( cosec square Theta -1) = 1 - Brainly.in
brainly.in
Charge through a cross-section time graph is shown in the figure ...
brainly.in
Force at t = 3 sec is equal to :-)1p (kg ms )1t (sec)2 34-1 - Brainly.in
brainly.in
1/cosec∅(1-cot∅)+1/sec∅(1-tan∅) is equal to - Brainly.in
brainly.in
Sin A + sec A whole square + Cos A + cosec A whole square is equal to 1 ...
brainly.in
Slope Of The Secant Line Formula, Definition, Solved Examples
pw.live
ELECTRICAL DIRECT CURRENT CIRCUITS & THEOREMS: How dc circuits analysis ...
dcanalysis.blogspot.in
if cos theta equal to 3 by 5 find the value of 5 cos theta minus 4 ...
brainly.in
Comparative Analysis of Different Iterative Methods for Solving Current ...
mdpi.com
Workbook and Procreate Brushes – Oriandcalli
oriandcalli.com
Related Searches
Secant Meaning
Secant Derivative
Secant Is
Secant Theta
Secant Function
Secant Law
Secant 0
Secant Definition
Secant Theorem
Secant Method
Secant On Unit Circle
Secant Equal To
Secant Math
Modified Secant Method
Tan Secant
Secant Line Equation
Secant 1/Cos
Formula for Secant Method
Secant Method 數值分析
Secant Define Math
Secant Function Graph
Secant Tangent Formula
Tangent Secant Angle
Secant Amplitude
Secant Segment Theorem
Secant Triangle
Secant Method Example
Secant Method Graphically
Secant Cosecant Cotangent
Secant Defi
Secant Reduction
Secant Secant Product Theorem
Secant Calculator
Secant Diagram
Secant Is What Over What
Secant Formula Trigonometry
Intersecting Secant Theorem
Secant Secant Theorum
Tangent Secant Power Theorem
Reciprocal Trig Ratios
Secant Shaft
Secant Equals What
Secant Compared to Sine
External Secant Segment Example
Secant Identities
Angle Cosine Chart
SEC Equals
Secant Method Algorithm
How to Get Secant
Defenition of Secant
Search
×
Search
Loading...
No suggestions found