Find Your Style
Women
Men
Accessories
Search for clothing, brands, styles...
×
Women
Men
Accessories
Simplify For Quicken Users
Search
Loading...
No suggestions found
The hidden cost of owning a smartphone: 42% of Indian users spend INR ...
oppo.com
The hidden cost of owning a smartphone: 42% of Indian users spend INR ...
oppo.com
Quicken Simplifi, YNAB to Monarch, explore top 5 budgeting app ...
tech.hindustantimes.com
Quicken Premier 2023 Download | 7petals.in
7petals.in
Quicken Simplifi: Budget Smart – Apps on Google Play
play.google.com
Quicken Simplifi: Budget Smart – Apps on Google Play
play.google.com
Quicken | Coding OA Questions and Solutions | SDE | Set - 2 | - Desi QnA
desiqna.in
10 Best Free And Paid Quicken Alternatives For 2023
7petals.in
👉 Simplifying Ratios with Pictures
twinkl.co.in
Simplify the following. 1. 1.515 = 5 x 4.5+ 2.625 ÷ 0.75 2. 3.25 of 1.5 ...
brainly.in
simplify the given picture - Brainly.in
brainly.in
Add-In: WHS Quicken 1.0.6.6
mswhs.com
Simplify:(16)1/2. solve this question - Brainly.in
brainly.in
simplify (-15) + (-36)-(-48) + (-76) 2.16.S - Brainly.in
brainly.in
10. Simplify: (-15 - 16) (-24 - 21) - Brainly.in
brainly.in
SIMPLIFY-:(64/125)^-2/3 + (625/256)^1/4 + ( under root 25/ cube root 64 ...
brainly.in
Google to introduce eSIM transfer on Android phones in 2023 ...
dnaindia.com
simplify (2⅘+1³/¹⁰)×1½ - Brainly.in
brainly.in
Simplify: x - y x - y √x - √y √√x + √y √x - √y √√x + √y + x - y x - y 2 ...
brainly.in
simplify 7 by 12 subtract 1 by 4 - Brainly.in
brainly.in
simplify..a/9a²-b² + 1/3a-b - Brainly.in
brainly.in
Simplify 6/7+1+(-7/9)+19/21+(-12/7) - Brainly.in
brainly.in
Google rolls out QR code-based file sharing via Quick Share for Android ...
tech.hindustantimes.com
Simplify 1 + 2+√3 2 √5-√3 + 1 2-√5 Simplify 1 + 2 + √3 2 √5 - √3 + 1 2 ...
brainly.in
simplify 4/7÷[12/7-3/14] - Brainly.in
brainly.in
Simplify:3/8÷(4/7+3/7) - Brainly.in
brainly.in
simplify: 4√2 divide under root 15 minus 3 under root 2 + 3 under root ...
brainly.in
simplify root5 -2 /root 5 +2 - root 5 +2 / root 5 -2 - Brainly.in
brainly.in
simplify (256) raised power -4 -3. 2 - Brainly.in
brainly.in
Simplify:√32+√48÷√8+√12 - Brainly.in
brainly.in
simplify(256/81)^5/4 somebody pls help what is ans to this simplify ...
brainly.in
Simplify: (ix) 9^5/2 - 3*5^0 - (1/81)^ -1/2 - Brainly.in
brainly.in
Google to revamp search results on smartphones to simplify user ...
businessinsider.in
simplify [(12^1/5)/(27^1/5)]^5/2 - Brainly.in
brainly.in
simplify. (49)5/2 - (49)7/2/(49)7/2 80 points on answering question ...
brainly.in
Simplify (5+root 8)+(3-root 2)-(root 2-6) - Brainly.in
brainly.in
simplify 1/ root 5 + root 3 + 1/2(root root 5- root3 - Brainly.in
brainly.in
Buy Quicken(r) 2001 Deluxe For Macintosh: The Official Guide (Quicken ...
amazon.in
Simplify : 47/6 - 35/8 + 31/12 - Brainly.in
brainly.in
Simplify Billing with our User-Friendly Invoice Generator
billgenerator.in
simplify (√4+√3)(√4-√2)(√3-√6) - Brainly.in
brainly.in
Simplify 4/7+-8/9+-5/21+1/3 - Brainly.in
brainly.in
Simplify the following numerical expression......22 – 1/4 {16 – (8 ÷ 4 ...
brainly.in
simplify 7 root 3 by root 10 + root 3 minus 2 root 5 by root 6 + root 5 ...
brainly.in
Simplify it 13/5 × 7/26 × (-50)/7 × (-1)×5 - Brainly.in
brainly.in
Simplify: √10 × √15 + √2 × √3 − 3√6. - Brainly.in
brainly.in
Simplify (-6/7 ×-23/18)+(-11/13×65/22) - Brainly.in
brainly.in
Simplify: −4/5 × 3/7 × 15/16 × −14/9 - Brainly.in
brainly.in
14. Simplify 3x(4x - 5) + 3 and find its value for: (i) x = 0 = (ii) x ...
brainly.in
Buy Using Quicken for Windows 95: User Friendly Reference Book Online ...
amazon.in
Simplify : root 112 - root63 + 224/root 28 - Brainly.in
brainly.in
Samsung Announces Global Launch of Samsung Food, an AI-Powered ...
news.samsung.com
Old vs New Tax Regime Calculator Excel Download: Simplify Your Tax Planning
hrcalcy.in
How to Simplify Your Life
archanamehrotra.in
Free Download Income Tax Calculator FY 2024-25 in Excel – Simplify Your ...
hrcalcy.in
2√50×3√32×4√18 simplify - Brainly.in
brainly.in
SBI Users: Simplify Your Banking with the YONO App! Here's How to ...
msn.com
simplify 3(4x- 5 )+ 3 and find its value for (i) x=3. (ii) x=1/2 ...
brainly.in
simplify 12 root 18 minus 6 root 20 minus 3 root 50 + 8 root 45 ...
brainly.in
number 3 plz simplify with process - Brainly.in
brainly.in
simplify by rationalizing the denominater(\/7+\/2)(9+\/14) - Brainly.in
brainly.in
Simplifying ML: Logistic regression – Part 2 – Giga thoughts
gigadom.in
Simplify : a)19 + 1\5 [{-20×(55-13-3)}÷(-5)] - Brainly.in
brainly.in
Simplifying ML: Logistic regression – Part 2 – Giga thoughts
gigadom.in
simplify=> 4/4 of (4/9 + 2/3) ÷ 2⅔please answer quickly because exam is ...
brainly.in
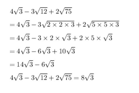
Simplify 4 root 3 - 3 root 12 + 2 root 75 - Brainly.in
brainly.in
rationalize the denominator of 3 root 5 + root 3 upon root 5 minus root ...
brainly.in
Google will use AI on iPhone to simplify search results and web ...
indiatoday.in
Simplify: 3 + 6 x (5 +4) ÷ 3 - 7 - Brainly.in
brainly.in
Old vs New Tax Regime Calculator Excel: Simplify Your Tax Calculations
hrcalcy.in
Simplify: 8x3 y3+z3+6xyz a3-8b3+27c3 +18abc / 4x^ 2 +y^ 2 +z^ 2 +2xy+yz ...
brainly.in
Simplify 3m²/m+ 2m⁴/ m³ - Brainly.in
brainly.in
Simplify{(625^-1/2) ^-1/4}^2 - Brainly.in
brainly.in
simplify : 3 1/2 - [3/4+2 1/2 - {1/2 + 1/6 - 1/7} ÷ 2 61/84] - Brainly.in
brainly.in
Simplify 9⅓×27-½/3⅙×3-⅔Please Answer Fast - Brainly.in
brainly.in
Simplify root72+ root800 - root18 - Brainly.in
brainly.in
simplify the expression - Brainly.in
brainly.in
Simplify maths class 7 - Brainly.in
brainly.in
simplify 27-1\4{-5-(-48)÷(-16)} - Brainly.in
brainly.in
Simplify step by step the ans should be 18 - Brainly.in
brainly.in
simplify x(y2+5xy)+2xy(3x-2y) - Brainly.in
brainly.in
Simplifying Bitcoin Futures: How Pi42’s INR-based trading model ...
msn.com
simplify 3+root 5/ 3-root5+3root5/3+root5 by rationalising the ...
brainly.in
Example 1: simplify 4 [6 - {12 (10 8-6 )}1.
scoop.eduncle.com
simplify and verify the property d) (5/8+9/16)÷3/4=(5/8÷3/4)+(9/16÷3/4 ...
brainly.in
simplify(c2+2cd)+(-3cd-d2) - Brainly.in
brainly.in
New Regime Salary Calculator: Simplifying Your Tax Calculations
hrcalcy.in
simplify the following - Brainly.in
brainly.in
viaSocket Price, Features, Reviews & Ratings - Capterra India
capterra.in
Simplify -5a-[-3b-{-6c-(-3a-5b-4c)}] with line bracket on top of -5b ...
brainly.in
SIMPLIFY 4 by 7 9by14it's answer is 2by9but how i solve it - Brainly.in
brainly.in
simplify i) 5/16 + (-7/12) - Brainly.in
brainly.in
Simplify: 1÷x+1 - 1÷x-1 - Brainly.in
brainly.in
simplify root 5 +root 3/root 5 -root3+root5-root 3/root5 +root3 ...
brainly.in
Brainly.in
brainly.in
Simplify, (1/3-1/4+1/5-1/6) / (2/5-5/9+3/5-7/18) - Brainly.in
brainly.in
Simplify 2/5÷{1/5 of [3/4-1/2]-1} video - Brainly.in
brainly.in
simplify 3/4×16/7×7/21÷2/3 - Brainly.in
brainly.in
simplify the following(44)sq-(39)sq - Brainly.in
brainly.in
Google will use AI on iPhone to simplify search results and web ...
indiatoday.in
Navi's aim is to simplify financial services, improve affordability for ...
economictimes.indiatimes.com
View question - Simplify. 27x6y3−−−−−√3 Assume all variables are ...
web2.0calc.com
simplify 3 upon 8 multiply - 11 upon 5 + 3 upon 8 multiply 1 upon 5 ...
brainly.in
Simplify 1/5-2 root 3 divided by 1/5+2 root 3 - Brainly.in
brainly.in
simplify : 9⅓ ×27-½ / 3⅙ 3 -⅔solve it , I'll Mark you brainiest ...
brainly.in
Must-Knows About Dendro Elemental Reactions In Genshin Impact
gurugamer.com
Simplify: (i) 25- [20 – {8 ÷ -(15 -25 ÷ 5)÷ 2)}] (ii) 48 ÷ { 8 –(-2 of ...
brainly.in
simplify (-3/2×4/5)÷(9/5 ×-10/3)-(1/2×3/4)p - Brainly.in
brainly.in
Simplify: 8x3 y3+z3+6xyz a3-8b3+27c3 +18abc / 4x^ 2 +y^ 2 +z^ 2 +2xy+yz ...
brainly.in
Simplify: (sqrt(2x) + sqrt(3y)) ^ 2 + 2(sqrt(2x) + sqrt(3y))(sqrt(2x ...
brainly.in
simplify this problem [tex] \frac{ {9}^{ \frac{1}{3} } \times {27 ...
brainly.in
simplify (27/9 × 3/5) -2/3 - Brainly.in
brainly.in
Simplify 15/6 - 3 3/5 + 1 1/3 x 6/7 ÷ 2/9.? - Brainly.in
brainly.in
View question - simplify (sin(-θ) tan(θ) )/sec(-θ)
web2.0calc.com
Simplify: (0.008) - 1/5 - Brainly.in
brainly.in
6 Simplify (3+√3)(2+√2)². - Brainly.in
brainly.in
Simplify Your Cab Billing with a User-Friendly Generator
billgenerator.in
Indian Rupee against US Dollar since 1947 - Insights
news.faltupana.in
Simplify by ratinalision Denominator. √36-(√48)/√36+(√48) - Brainly.in
brainly.in
simplify 3\8×24\15÷16\5 - Brainly.in
brainly.in
Related Searches
Quicken
Quicken Software
Quicken Simplified
Quicken Budget
Quicken Online
Quicken Financial Planning
Quicken Simplify Screen Shot
Quicken Small Business Software
Quicken Simplifi Review
Quicken Screenshots
Quicken Simplifi App
Quicken Simplify Logo
Quicken Simplifi Login
Quicken Simplify App Icon
How to Reconcile in Quicken Simplify
Quicken Money Manager
Simplify for Quicken Users
Quicken Demo
Quicken Personal
Quicken Accounting
Quicken Simplifi Cost
Quicken Finance Software
Quicken vs QuickBooks
Quicken Bookkeeping Program
Quicken Simplify and Recipt Scannign
Quicken Downlaod
Quicken Simplifi Overview
Quicken Simplify Business Invoces
Quicken Dashboard
Budgeting Using Quicken
Quicken Desktop
Quicken Simplifi Canada
Quicken Online Backup Cost
Money Management Quicken
Quicken QFX
Quicken Apk
Quicken Interface
Quicken Simplifi UI
Quicken Simplifi Preview
Quicken Layout
Quicken Simplifi Book
Web Connect for Quicken
Quicken Simplifi Fee
Simplifi by Quicken Download
Budgeting Apps Quicken
Quicken Simplifi Reports
Quicken for iPhone
Quicken Premier Reports
Quicken Simplifi App Account Page
Quicken Simplifi Bills
Search
×
Search
Loading...
No suggestions found