Find Your Style
Women
Men
Accessories
Search for clothing, brands, styles...
×
Women
Men
Accessories
Sims 4 Log Retexture
Search
Loading...
No suggestions found
Slideshow: Life Tragedies Sims 4 Mod
in.ign.com
Slideshow: Life Tragedies Sims 4 Mod
in.ign.com
Best Sims 4 Mods: Wicked Whims, MC Command, and More Sims 4 Mods
in.ign.com
Slideshow: Life Tragedies Sims 4 Mod
in.ign.com
BRO Bnrdzf 463 PZB Emissive fix - Train Sim Community
trainsimcommunity.com
Green Class 101 - Train Sim Community
trainsimcommunity.com
log 32 +log 4-log 16 - Brainly.in
brainly.in
4 Log Kya Kahenge, Viu Gallery, Vadodara, 16 July 2023 | AllEvents.in
allevents.in
PKP INTERCITY WLAB mouz Wagon Sypialny (DM) - Train Sim Community
trainsimcommunity.com
ED-161 PKP INTERCITY - Train Sim Community
trainsimcommunity.com
Sanchar Saathi App 2025: New Rules, How to Check Fake SIMs | Rupeezy
rupeezy.in
VIA Rail Renaissance Car Pack - Train Sim Community
trainsimcommunity.com
BGMS Season 4: Nodwin Gaming and JioStar Announce the Upcoming BGMI ...
in.ign.com
Buy Lawn Care Client Log Book Word Template Word Printable Online in ...
etsy.com
Do ey offer cab pick up and drop facility.If yes can someone share the ...
glassdoor.co.in
Solve :2 log (8/45) + 3 log (25/8) - 4 log (5/6) - Brainly.in
brainly.in
JavaScript console.log All Details With Example - 3schools
3schools.in
log base2.log base4.logx base 5=0 solve. - Brainly.in
brainly.in
US Military To Deploy Navy Ships, USS Gerald R Ford Closer To Israel To ...
timesnownews.com
log 625 base 5 + log 256 base 4 -log 128 base 8 - Brainly.in
brainly.in
Logarithm Formula- Explanation, Types, Properties, Examples
adda247.com
About eSIM on iPad - Apple Support (IN)
support.apple.com
The value of 2/3 log 8 + 6 log 3√2 - 1/2 log 1/4 - Brainly.in
brainly.in
Buy Temperature Log Book: Simple Fridge/Freezer Temperature Monitoring ...
desertcart.in
4xsquare +y square =20 xy then prove that 2 log (2x-y)=4 log 2 + log x ...
brainly.in
log of 0.25 to the base 4 - Brainly.in
brainly.in
Amazon.com: Lycamobile USA Prepaid Sim Cards Include 30 Days Service ...
shop.lazadasp.com
if log x at base root 2 = a then find the value of log x at the base 2 ...
brainly.in
Buy fire alarm log book 2021: Fire Alarm Testing Log Book , And Safety ...
desertcart.in
Hero Honda Karizma R - JungleKey.in Image
junglekey.in
SA Dummy Currency Notes for Kids (350 Units) | Each 50 Notes of 10 20 ...
flipkart.com
Buy Temperature Log Book: Daily Refrigerator Temperature Log Book ...
desertcart.in
log base 4 (log base 3 (log base 2 of X)) = 0?? - Brainly.in
brainly.in
4 log 3 base 9 +9 log 4 base 2 is equal to 10 log 83 base x find the ...
brainly.in
Airtel Sim Swap Form - Fill Online, Printable, Fillable, Blank | pdfFiller
pdffiller.com
Petition · Airtel India: Immediate active all serives after sim card ...
change.org
Top 10 Cheapest Cars in India - Sep 2024
smcinsurance.com
How To Use Dual WhatsApp Accounts On The Same Phone | Cashify Blog
cashify.in
45+ Ghatiya Log Quotes in Hindi | घटिया मतलबी लोगों पर सुविचार
thesimplehelp.com
Goremit.in | Forex . Cards . Remittance
goremit.in
Buy Forklift Daily Inspection Checklist Log Book: Forklift Operator ...
desertcart.in
Buy fire safety log book: Fire Alarm Testing Log Book - Fire Inspection ...
desertcart.in
Names starting with R, R names, store name ideas - N4B
names4brands.com
4 log 3 base 9 +9 log 4 base 2 is equal to 10 log 83 base x find the ...
brainly.in
if log x base 2 + log x base 4 + log x base 16 = 22/4. find x - Brainly.in
brainly.in
[Expert Answer] If logx to the base 2 + logx to the base 4 + logx to ...
brainly.in
Log(x-1)+log(x+4)=log(3x+5) find x - Brainly.in
brainly.in
prove that 2 log 5 + log 21 - log 14 - log 6 is equal to 2 - 4 log 2 ...
brainly.in
Evaluate the following using log tables. (27.8)^1/2 x (58.49)^2/3/(0. ...
brainly.in
log ( x+4) - log 7 = 3 log 2 - log (x+5)........solve x - Brainly.in
brainly.in
Wagon R Car Music System - Wagon R Android Stereo | Woodman
hiwoodman.com
'Dance Aisa Karo K 4 Log Puche': Sunny Deol Dancing Video From Son ...
in.mashable.com
The exponential form of log 8 base 4 equals to x is - Brainly.in
brainly.in
Construct an E-R diagram for a hospital with a set of patients and a ...
brainly.in
4 log dekhenge to kya kah... | Quotes & Writings by Sammy ️ | YourQuote
yourquote.in
express 1/2 log a + 3/4 log b+3/4 log c is a single logarithm - Brainly.in
brainly.in
If log(base5)2 - log(base5)x = 4, what is the value of X?Select one:a ...
brainly.in
The value of is 4 log(8)/(25)-3 log(16)/(125)-log 5 is - Brainly.in
brainly.in
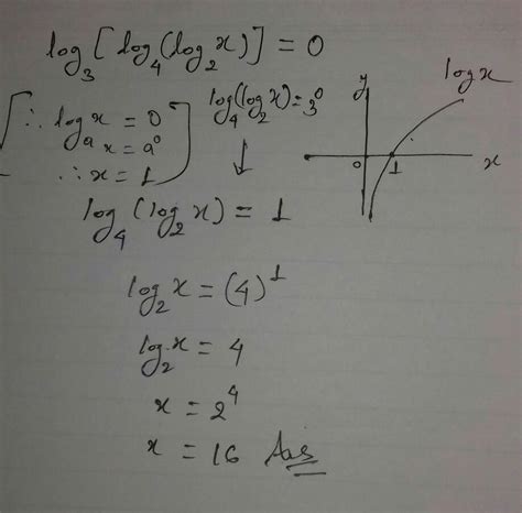
If log with base 3[ log with base 4 (log x to the base 2)] = 0 find x ...
brainly.in
Maruti Wagon R On Road Price in Ahmedabad, Navsari, Vadodara, Vapi ...
maruti.kataria.co.in
Order Of Reaction : Zero Order And First Order | Science Vision
sciencevision.in
log81/8+2log2/3-3log3/2+log3/4 - Brainly.in
brainly.in
8 log 2 - 2 log 4 / log 2 =4 - Brainly.in
brainly.in
Sikkens Log And Siding Maintenance Coat | 7petals.in
7petals.in
Construct a E-R Diagram for a Hospital with a set of patients and a set ...
brainly.in
if log5 to the base 4 = a and log 6 to the base 5 = b then log 2 to the ...
brainly.in
log2 (4-x)=4-log2(-2-x) - Brainly.in
brainly.in
B.R. Oxford Public School - Powered by Edumitra
edumitra.in
4xsquare +y square =20 xy then prove that 2 log (2x-y)=4 log 2 + log x ...
brainly.in
solve this equation of logarithm log 4 32 equal to x-4 - Brainly.in
brainly.in
Log 4 base 3 log 5 base 4 log 6 base 5 log 7 base 6 log 8 base 7 log 9 ...
brainly.in
Fillable Online npointenergy PERSONAL GAS MONITOR FUNCTION TEST LOG ...
pdffiller.com
log x base 2=log 16 base 4 find x - Brainly.in
brainly.in
5 log 3 - log 9 = log 27 - Brainly.in
brainly.in
MATH FORM 3 Paper 2 MS - PAPER 2 SECTION I 1 Log 5 – log 100 + log (2x ...
studocu.com
Log 3 on base 2 * log 4 on base 3 * log 5 on base 4 ....... Log (n+1 ...
brainly.in
Canada Log Fill - Fill Online, Printable, Fillable, Blank | pdfFiller
pdffiller.com
If log(10x+5)-log(x-4)=2,then x=? - Brainly.in
brainly.in
If log2 = 0.30103, log 3 = 0.4771, then find the value of log(cube root ...
brainly.in
Version 0.4.1.2 released - BeamNG.drive
beamng.com
Usace Submittal Register Excel - Fill Online, Printable, Fillable ...
pdffiller.com
log (a-b)÷log 5 =log 4÷log 1/2=log (a+b)÷log 2 - Brainly.in
brainly.in
express as a single logarithm 5 log 3 + 7 log 2- 3 log 11-4 log 5 ...
brainly.in
log(1/2)+log(2/3)+log(3/4)+log(4/5)-log(1/5)=0 - Brainly.in
brainly.in
Food Temperature Log Book To Record Fridge Freezer Temperature Daily ...
desertcart.in
Find the value of 2 log 3x² + 3 log 4x³ = 4 log 2x² + 4 log 6x - Brainly.in
brainly.in
Memes Download and explore best Memes, Meme Video around the globe ...
memes.co.in
Buy Daily Time Sheet log book: Timesheet Log Book To Record Time | Work ...
desertcart.in
Simplify log3(2)*log4(3)*log5(4)*log6(5)......*log20(19) - Brainly.in
brainly.in
Edited By : Bhavna Sahu January 4, 2023 / 11:08 PM IST
ibc24.in
Log base 4 (log base 2 (x)) + log base 2 (log base 4 (x)) = 2 find x ...
brainly.in
Maruti WagonR LXI CNG Optional On-Road Price, Specs , Features & images
autovista.in
18 Printable army inventory form Templates - Fillable Samples in PDF ...
pdffiller.com
Knowledge Base: Sanitizer Test Strips Precision, 41% OFF
iiitl.ac.in
Solve for x: log base 6 is (x-2) +log base 6 (x+3)=1 - Brainly.in
brainly.in
Buy 4-Blade Log Burners Fans Heat Powered Wood Stove Fan Wood Burning ...
desertcart.in
log(base a) 4 + log(base a) 16 + log(base a) 64 + log(base a)256 = 10 ...
brainly.in
solve 4^log X = 32- x^log4 - Brainly.in
brainly.in
If log 2(x2-4x+7) =2 then find the value of x. - Brainly.in
brainly.in
Maruti Wagon R On Road Price in Lucknow, Barabanki, Sultanpur & 2021 ...
bright4wheel.com
What is a c12 & c13 band in Citi .. What is an avg year end hike ...
glassdoor.co.in
Osha Eyewash Station Log Sheet - Fill Online, Printable, Fillable ...
pdffiller.com
Mercedes-Benz Classe R R350 4MATIC 2011 : Prix, Specs & Fiche Technique ...
guideautoweb.com
If p, q, r are in GP, prove that log p, log q, log r are in Ap - Brainly.in
brainly.in
HP 15t Home & Business Laptop (Intel i7-1255U 4-Core, 16GB RAM, 512GB ...
amazon.in
2007 Form Daily Freezer/ Refrigerator Temperature Log Fill Online ...
pdffiller.com
Given: log8(5) = b. Express log4(10) in terms of b.Simplify without ...
brainly.in
Solve for x - log(x+4)-log(x-4)=. Log2 - Brainly.in
brainly.in
2015 Form AAMFT Sample Supervision Log Fill Online, Printable, Fillable ...
pdffiller.com
RRP will merge to base salary from grade 21-26 , employees who are ...
glassdoor.co.in
Todywalla
todywallaauctions.com
Related Searches
Sims 4 Hair Retexture
Sims 4 Skin Retexture
Miikocc Sims 4 Hair Retexture
Sims 4 CC Retexture
Sims 4 Log Retexture
Color Retexture for Sims 4
Sims 4 Lei Retexture
Sims 4 Food Retexture
Sims 4 Lottie Retexture
Sims 4 Hair Texture
Sims 4 Retexture Mod
Llama Retexture Sims 4
World Retexture The Sims 4
Sims 4 Daya Retexture
Sims 4 Plait Hair CC
Hair Retexture Teenaged Sims 4
Sims 4 Vanity Hair Retexture
Sims 4 Alpha CC
Nightcrawler Sims 4 Poison Retexture
Sims 4 Anto Retexture
Ajisai Newsea Sims 4 Retexture
Sims 4 Kotehk Retexture
Skims Sims 4 CC
Hair Retexture Glamteenage Sims 4
Sims 4 CC Hair Braids
Sims 4 Cake Retexture Pack
Sims 4 Anto Recolor
Sims 4 Terrian Retexture
Wings Sims 4 Retexture Male
Stealthic Sims 4
Sims 4 60s Hair
Sims 4 CC Packs
Sims 4 Will Solace
Sims 4 Donna Hair Retexture
Sims 4 Newsea Retextures
Retexture Mesh Sims 4
Sims 4 Hair Mods
Road Retexture Sims 4
Ferris Wheel Newsea Retexture by Sims 4
Wingssims Sim 4 Retexture
Sims 4 Hair Retexture Locs
Lumine Cersei Retexture Sims 4
Sims 4 Rabbits Retexture
Realistic Sims 4 Hair Texture
My Sims 4
Ombre Hair Sims 4
Sims 4 Urban Hair
Sims 4 Maruchanbe Hair Retextures
Sims 4 Short Hair
Bouffant Hair Sims 4 CC
Search
×
Search
Loading...
No suggestions found