Find Your Style
Women
Men
Accessories
Search for clothing, brands, styles...
×
Women
Men
Accessories
Squaring A Multinomial Example
Search
Loading...
No suggestions found
வகுத்தல் முறையில் பல்லுறுப்புக் கோவையின் வர்க்கமூலம் காணல் ...
brainkart.in
Polynomials- Definition, Formula, Types, Example
adda247.com
write the degree of polynomial ( x square + 5 ) ( x square - 5 ...
brainly.in
if alpha and beta are zeros of the polynomial t square - t - 4 form a ...
brainly.in
Multinomial Distribution Examples and Explanations eBook : Di Carlo ...
amazon.in
if alpha and beta are the zeros of the polynomial x square - 5 x + 4 ...
brainly.in
if alpha and beta are the zeros of quadratic polynomial X square + X ...
brainly.in
Perfect Square Formula, Definition, Solved Examples
pw.live
What is a Square Number? | Definition & Examples | Twinkl
twinkl.co.in
if one zero of the polynomial P of x is equal to x square - 6 X + K is ...
brainly.in
Find the zeros of the polynomial 4 root 3 X square + 4 root 3 x minus 3 ...
brainly.in
Polynomial Formula - Solved Examples, Types, Equations
pw.live
4u square + 8u how to solve this sum - Brainly.in
brainly.in
If alpha and beta are zeroes of the polynomial kx^2 4x 4 such that ...
edurev.in
If alpha and beta are zeros of polynomial X square + a x + b then find ...
brainly.in
if alpha beta are the zeros of a quadratic polynomial f x is equal to 4 ...
brainly.in
If alpha and beta are the zeros of polynomial x square minus x minus 30 ...
brainly.in
Polynomial Formula - Solved Examples, Types, Equations
pw.live
If alpha and beta are the zeros of the quadratic polynomial x square ...
brainly.in
find the zeroes of the following quadratic polynomial and verify the ...
brainly.in
find the zeros and the and verify the relation between zeros and ...
brainly.in
find the zeros of the polynomial x square - 3 and verify the ...
brainly.in
(1) Types of polynomials according to degree :ExampleDegree of ...
brainly.in
if zeros of the polynomial x square - p x + q be in the ratio 2 is to 3 ...
brainly.in
find the zeros of quadratic polynomial 3 x square minus 2 and verify ...
brainly.in
வகுத்தல் முறையில் பல்லுறுப்புக் கோவையின் வர்க்கமூலம் காணல் ...
brainkart.in
If a and b are the zeros of a quadratic polynomial x square plus x ...
brainly.in
Perfect Squares- Definition, Formula, Examples, Tips and Tricks, Chart
adda247.com
If alpha and beta are the zeros of the polynomial 3x square minus 4x ...
brainly.in
if sum of the square of zero of quadratic polynomial x square - 8 x + k ...
brainly.in
if alpha and beta are zeroes of the polynomial f(x)=2x^2-6x+4. find the ...
edurev.in
Facts About the Chi-Square Distribution - India Dictionary
1investing.in
If alpha and beta are the zeroes of the quadratic polynomial :p(x) =3x ...
edurev.in
if one zero of the polynomial 2 x square - 5 x-(2K + 1) is twice the ...
brainly.in
Find the zeroes of the polynomial 2x^2-7x+3 and hence find the sum and ...
brainly.in
Find the values of a and b if they are the zeros of polynomial x2+ax+b ...
brainly.in
write 10 example of polynomial and 5 examples of quadratic equations ...
brainly.in
find the zeroes of the polynomial x2-7x+12 - Brainly.in
brainly.in
if alpha and beta are the zeroes of the polynomial kx^2 +4x +4 such ...
brainly.in
if alpha and beta are zeroes of the polynomial ax^2+bx+c, find 1/alpha+ ...
brainly.in
Square Root: Formulas, Solved Examples, How To Find Square Root
pw.live
Find the zeros of the polynomial x2-x-6 and verify it - Brainly.in
brainly.in
Select the correct answer. Consider these shapes. If shape B is a ...
brainly.in
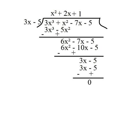
1. Find the square root of the following polynomials by division method ...
brainly.in
CBSE Class 10 Maths Chapter 2 Important Questions and Answers for 2023
jagranjosh.com
Find the zeros of quadratic polynomial x square + 7 x + 10 and verify ...
brainly.in
if alpha and beta are the zeros of the polynomial f x is equal to 16 X ...
brainly.in
If alpha and beta r zeros of polynomial 6xsquar - 7x-3 then form a ...
brainly.in
if alpha and beta are the zeros of the polynomial 3x square + 5 x + K ...
brainly.in
What is a Square Number? | Definition & Examples | Twinkl
twinkl.co.in
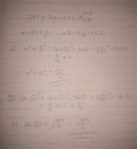
14.If the sum of the zeroes of the quadratic polynomial ky² + 2y - 3k ...
brainly.in
If sum of the squares of zeros of the quadratic polynomial fx )= x2 8x ...
brainly.in
Understanding the Meaning of an R-squared Value of 0.5
shallbd.com
if polynomial x square +2xcube+8xsquare+12x+ 18 is divided by another ...
brainly.in
if alpha and beta are the zeros of quadratic polynomial 3x square minus ...
brainly.in
if sum of the zeroes of a quadratic polynomial kx square +2x-3k, is ...
brainly.in
If alpha, beta of the zeros of the polynomial F of X is equal to X ...
brainly.in
If alpha and beta are the zeros of the polynomial x square + bx + c ...
brainly.in
find the zeros of polynomial x square minus 15 and verify the ...
brainly.in
find the value of p for which x minus 3 is a factor of the polynomial p ...
brainly.in
Find the value of polynomial P(x) = 2 + x + 2x2 - x3 at x=2 - Brainly.in
brainly.in
without finding the zeros of alpha and beta of polynomial p(x)=x²-5x+6 ...
brainly.in
If α and β are the zeroes of the polynomial ax² + bx + c, find the ...
brainly.in
If alpha and beta are the zeros of the quadratic polynomial x square ...
brainly.in
if alpha and beta are the zeros of polynomial X square + 6 X + 9 then ...
brainly.in
THe zeros of the polynomial f(X) = 4x^2 - 12x +9 are - Brainly.in
brainly.in
on dividing 3x cube + x square + 2x + 5 by a polynomial g(x), the ...
brainly.in
if alpha and beta are the zeros of the polynomial x square - 8 x + A ...
brainly.in
If alpha and beta are the zeroes of the polynomial f(x) = ax 2 + bx + c ...
brainly.in
If a and b are the 2 zeroes of the quadratic polynomial x^2-3x 7 , find ...
edurev.in
find the quadratic polynomial whose zeros are 2/3 and -1/ 4 verify the ...
brainly.in
If the sum of the square of the zeroes ofthe polynomial p(x)=x2+7x+k is ...
brainly.in
find the zero of the polynomial x square - 5 x - 6 - Brainly.in
brainly.in
find the zero of the quadratic polynomial X square + 99 X + 127 ...
brainly.in
if alpha and beta are the zeros of quadratic polynomial f x is equals ...
brainly.in
if alpha and beta are the zeroes of the polynomial p(x)=x square -8x+k ...
brainly.in
If alpha and beta are the zeroes of the polynomial x² - 6x + k and ...
brainly.in
Find the zeroes of the polynomial 4x^2+4x-3 and verify the relationship ...
brainly.in
How to Square a Number | Examples | Teaching Wiki - Twinkl
twinkl.co.in
if alpha and beta are the zeros of the polynomial 2 X square + 3 x ...
brainly.in
If α and β are zeroes of the polynomial p(x) = 6x2 – 5x + k such that ...
brainly.in
if x= 3/2 is a zero of the polynomial 2x square + kx - 12 then find the ...
brainly.in
the two zeros of the polynomial p x is equal to x square - 5 x 6 0 and ...
brainly.in
if alpha , beta are the two zeroes of the quadratic polynomial x^2 - 8x ...
brainly.in
1. Find the square root of the following polynomials by division method ...
brainly.in
solve the following equation by factorisation root 3 x^2+10x+7root3=0 ...
brainly.in
if alpha and beta are the zeros of the polynomial 6x square - 7 x + 2 ...
brainly.in
to check whether root 2 and minus 2 root 2 are the zeros of polynomial ...
brainly.in
if alpha and beta are the zeros of the polynomial x square minus px + q ...
brainly.in
If alpha and beta are zeros of polynomial X square + a x + b then find ...
brainly.in
if zeros of polynomial x square - 2 x minus 3 are half of the zeros of ...
brainly.in
find the zeros of x2 + 2√2x - 6 a quadratic polynomial and verify the ...
brainly.in
Logistic and Multinomial Regressions by Example: Hands on approach ...
amazon.in
If one zero of a polynomial 3x^2-8x+2k+1 is 7 times the other find the ...
brainly.in
வகுத்தல் முறையில் பல்லுறுப்புக் கோவையின் வர்க்கமூலம் காணல் ...
brainkart.in
if alpha and beta are the zeros of the polynomial 6y^ 2 - 7y + 2 find a ...
brainly.in
if alpha and beta are the zeros of the polynomial x square - 5 x + K ...
brainly.in
If α and β are the zeroes of the quadratic polynomial 2x 2 - 5x -7 ...
brainly.in
Find the zeros of the following quadratic polynomials and verify the ...
edurev.in
if alpha and beta are zeroes of the polynomial 6y square -7y+2 ; find a ...
brainly.in
if alpha beta are the zeros of the quadratic polynomial f(x)=kx^2 +4x+4 ...
brainly.in
If one zero of polynomial 3x^2+8x+2k+1 is seven times the other. then ...
brainly.in
if both the zeros of a quadratic polynomial aX square + bx + c are ...
brainly.in
if one zero of the polynomial (a square +9)x square +13x+6a is ...
brainly.in
If alpha and beta are the zeros of the polynomial FX = 2 x square - 6 X ...
brainly.in
the zeros of the polynomial t2 -15 are ____ and ____ - Brainly.in
brainly.in
Divide the polynomial x cube minus 3 x square + 5 x -3 by the ...
brainly.in
Show that polynomial x 2 - 4x – 5 has the zeroes as x = 5 and x = -1 ...
brainly.in
If the sum of square zeroes of polynomial 6x^2+x+k is 25/36 . Find the ...
brainly.in
what must be subtracted from 4x4 - 2x3 - 6x2 + x - 5 so that the ...
brainly.in
If the polynomial 2x cube -9x square +15x +P when divided by (x-2 ...
brainly.in
compute the zeros of the polynomial 4 x square - 4 x minus 8 also ...
brainly.in
quadratic polynomial 3 x square - 4 x minus 7 has zero as alpha and ...
brainly.in
if one zero of the polynomial x square - 4 x + 1 is 2 + root 3 write ...
brainly.in
If alpha and beta are the zeros of the polynomial x^2-5x+6 find value ...
brainly.in
If alpha and beta are the zeros of the polynomial 3x square - 4x - 7 ...
brainly.in
show that the quadratic polynomial 4 x square + 12 x + 15 has no real ...
brainly.in
Find the zeros of the quadratic polynomial 2x square minus 2 root 2 x ...
brainly.in
Perimeter of Square Formula- Derivation, Unit, Examples
adda247.com
Related Searches
Multinomial Distribution Example
Multinomial Coefficient
Multinomial Coefficient Formula
Multinomial Regression
Multinomial Theorem Formula
Multinomial Experiment
Multinomial Example Problems
Multinomial Theorem Proof
Multinomial Logit Model
Multinomial Dist
Multinomial Function
Example of Multinomial Expression
Multinomial Combination
Squaring a Multinomial Example
Multinomial Expansion Equation
Random Multinomial
Multinomial Square
Multinomial Distribution Example Graph
Multinomial Polynomial
Multinomial Sampling
Probit Model Example
Multinomial Plots
Binomial and Multinomial Theorem
Multinomial Distribution Plot
Binom Dist
Multinomial vs Polynomial
Trinomial Theorem
Logistic Regression Graph
Logistic Regression Table
Statistical Data Examples
Multinomial Bayes Model
What Is a Multinomial
Trinomial Real Life Example
Hierarchical Regression Model
Mutlinomial
Example Image of a Multinomial Distribution for Three Categories
Teorema Multinomial
Multi Logit Model
Multinomial Espression Examples
Multinomial Math Symbol
Binomial and Multinomial Example in Mode
Monomial Binomial Trinomial
Multkinomial
Multiplication of Multinomials
Multinomial Topic Model
Multinomial Functional Form
Multinomiaal Theorem
Expanded Multinomial
Example of Multiplying Polynomials
Multienomial Expansion Theorem
Search
×
Search
Loading...
No suggestions found