Find Your Style
Women
Men
Accessories
Search for clothing, brands, styles...
×
Women
Men
Accessories
Statcom One Line Symbol
Search
Loading...
No suggestions found
Synchronous Condenser System | Hitachi Energy
hitachienergy.com
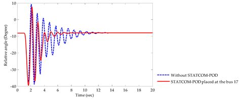
A Highly Relevant Method for Incorporation of Shunt Connected FACTS ...
mdpi.com
STATCOM - Hybrid | Hitachi Energy
hitachienergy.com
Electric Power Substations Engineering - synchronous condenser, and one ...
studocu.com
Symbols for Various Equipments used in Substation
eee.poriyaan.in
Hitachi Energy STATCOM delivers safe and reliable power to New Zealand ...
hitachienergy.com
Cad Lisp and Tips: Lisp : Break Line & Pipe End
cadlispandtips.in
A Highly Relevant Method for Incorporation of Shunt Connected FACTS ...
mdpi.com
A Highly Relevant Method for Incorporation of Shunt Connected FACTS ...
mdpi.com
TM vs R Symbol - Understanding the Key Differences
trademarkia.in
A Highly Relevant Method for Incorporation of Shunt Connected FACTS ...
mdpi.com
Entity-Relationship (ER) Diagram Symbols and Notations | EdrawMax
edrawsoft.com
Buy Letter R SVG PNG JPG Digital Download Online in India - Etsy
etsy.com
Electrical Diagram Software - Edraw
edrawsoft.com
Entity-Relationship (ER) Diagram Symbols and Notations | EdrawMax
edrawsoft.com
Entity-Relationship (ER) Diagram Symbols and Notations | EdrawMax
edrawsoft.com
Electrical Diagram Software - Edraw
edrawsoft.com
Cos'è un diagramma di tubazioni e strumentazione (P&ID)
edrawsoft.com
Greater Than and Less Than, Equal to Sign and Symbols: Check Meaning ...
adda247.com
ABHYAS | Self Learning | Testing Platform | ABHYAS
abhyasonline.in
RBI introduces new Rs 100 note: A look at the salient features - India ...
indiatoday.in
OnePlus tackles the Green Line Issue: Will the Worry-Free Solution win ...
digit.in
Expanded polystyrene Water Resistant Board Insulation at Lowes.com
lowes.com
Reserve Bank of India - Homepage
paisaboltahai.rbi.org.in
'Trade in Rupee will be the biggest way forward': Amit Shah calls it ...
businesstoday.in
Indian Rupee Symbol (₹): Facts about the official Currency of India
indiatimes.com
New Rs 100 currency note: All you need to know
newsheads.in
World Currency to Indian Rupee Exchange Rates,Foreign Currency Value in ...
goodreturns.in
Volkswagen Tiguan R-Line to launch in India tomorrow. What to expect ...
indiatoday.in
What is Set Mathematics? - Answered - Twinkl Teaching Wiki
twinkl.co.in
Kennametal - Kennametal Carbide Inserts Trader - Wholesaler ...
evolvetools.in
Indian History Time Line - General Knowledge Questions
sitesbay.com
20 Great Indian One Liners That'll Make You Think
indiatimes.com
Bio-Hazard Medical Waste Bags, Size 21 x 24 Inches, Capacity 15 Liters ...
amazon.in
Buy 4-lined Writing Practice Paper | Handwriting Penmanship Calligraphy ...
etsy.com
A Highly Relevant Method for Incorporation of Shunt Connected FACTS ...
mdpi.com
One line status on life in english
familystatus.in
Line Follower Robot using Arduino and L298N Module – QuartzComponents
quartzcomponents.com
5 Best Places To Visit In Pandharpur For A Religious Stopover
traveltriangle.com
DC-LINK CAPACITANCE DESIGN FOR CASCADED H-BRIDGE STATCOM WITH SUM OF ...
abtechnologies.in
A Highly Relevant Method for Incorporation of Shunt Connected FACTS ...
mdpi.com
Line Surge Arresters Surge Arresters Siemens Energy Global, 55% OFF
iiitl.ac.in
10 One-Line Dialogues That Grabbed Our Attention In 2016!
chaibisket.com
Write all Electrical symbols for some commonly used components ...
brainly.in
'Indian Matchmaking 2': Sima Taparia's One-Liners Trigger Meme Fest on ...
in.mashable.com
Shivaji Stadium Metro Station Delhi: Timings, Routes and Maps
nobroker.in
K. R. Shyam-Sundar | One of the Top B Schools in India
mdi.ac.in
Buy Whey Protein & Mass Gainers Online in India | BigRock
bigrocknutrition.in
10 One-Line Dialogues That Grabbed Our Attention In 2016!
chaibisket.com
10 One-Line Dialogues That Grabbed Our Attention In 2016!
chaibisket.com
@michellefromchina Entire Gallery Of Pictures & Videos #685
superadmin.kalaignarcentenarylibrary.tn.gov.in
10 One-Line Dialogues That Grabbed Our Attention In 2016!
chaibisket.com
20 Great Indian One Liners That'll Make You Think
indiatimes.com
एकतर्फी प्रेम स्टेटस |70+ One Side Love Quotes In Marathi
birthdaywishesinhindi.in
Buy Whey Protein & Mass Gainers Online in India | BigRock
bigrocknutrition.in
Buy RDX Front Spoiler VARIO-X Passat 3G B8 R-Line Front Lip Splitter ...
desertcart.in
Lord ganesha face illustration line art | Premium Vector
freepik.com
Indian institute of Technical Education
iite.in
Top 10 Cheapest Cars in India - Sep 2024
smcinsurance.com
Railway Track Silhouette icon png images
pngguru.in
Buy Whey Protein & Mass Gainers Online in India | BigRock
bigrocknutrition.in
Tamil One Line Quotes
nativenews.in
Top 15 Schools in Rajajinagar, Bangalore With fee Structure 2025-26
nobroker.in
MG Road Metro Station Bangalore: Timings, Routes and Exit Gates
nobroker.in
Protein
bigrocknutrition.in
Smell Sensory Flashcards - Senses - KS1 - Twinkl
twinkl.co.in
A Highly Relevant Method for Incorporation of Shunt Connected FACTS ...
mdpi.com
CEO-Board Directional Age Difference and R&D of Firms: Examining the ...
mdi.ac.in
Shiv Sena Symbol Dispute: Supreme Court to hear case in August | Shiv ...
lawbeat.in
Kinder Creative Wooden Painted Tray - National Symbols of India Price ...
flipkart.com
In line and staff organization, the authority lies n: (b) line (a ...
scoop.eduncle.com
One Line Status | Short Hindi Status
statusbox.in
Buy Silicone Air Fryer Liners, 2-Pack Reusable Non-Stick Baking Paper ...
amazon.in
Christmas Events & Activities in Oceanside 2026 | AllEvents.In
allevents.in
A Highly Relevant Method for Incorporation of Shunt Connected FACTS ...
mdpi.com
20 Great Indian One Liners That'll Make You Think
indiatimes.com
International Date Line - Definition and Its Untold Facts
sscadda.com
Top 16 Heritage Places In Kerala Every Traveler Must Visit In 2025
traveltriangle.com
Weekly Current Affairs One-Liners: 13th to 19th of February 2023
bankersadda.com
Types of Steel Liners | Encyclopedia MDPI
encyclopedia.pub
Buy Whey Protein & Mass Gainers Online in India | BigRock
bigrocknutrition.in
India & US Connected Via Direct Sea Route? 2D Map Depicts The Closest Way!
indiatimes.com
Weekly Current Affairs One-Liners: 28th August to 03rd of September 2023
bankersadda.com
2017 maruti wagon r vxi » Car Blog India
carblogindia.com
Active Harmonic Filter Vs Reliable Passive Installation | Encon Engineers
enconengineers.in
Snowpeak India
snowpeak.co.in
A Highly Relevant Method for Incorporation of Shunt Connected FACTS ...
mdpi.com
Top 50 Biology One-liners Questions and Answers - Edu Hyme
eduhyme.com
6 Pet-Friendly Ski Resorts Every Pet And Snow Lover Should Explore!
travelandleisureasia.com
Tamil Quotes One Line
nativenews.in
Types of stock market charts: A Complete Guide
taxguru.in
Logo redesign, Stationary and flyer for a warehouse for boats and cars ...
freelancer.in
Profit Plus your all in one wholesale shop
plusprofit.co.in
The Line: Will Saudi Arabia’s 170-km mirrored city be the utopia it ...
scroll.in
19 One-Line Stories That'll Make You Want To Pick Up A Book Right Now
indiatimes.com
Buy Abstract Line Woman Wall Art Canvas Bathroom Line Art Wall Decor ...
desertcart.in
General Knowledge One Liners 35000+ | 2022 - 23 | NCERT Based | By ...
shop.exam360.in
One Line Status in Hindi - Hindi Status And Shayari
statusnshayari.in
Buy RDX Front Spoiler VARIO-X Golf 7 Facelift 2017+ R-Line Front Lip ...
desertcart.in
Buy 20 Pack Disposable Bathtub Cover Liner, Ultra Large Bathtub Liner ...
ubuy.co.in
Economy News - Read and Discover Latest News on Indian Economy ...
economictimes.indiatimes.com
Chanakya Niti in Hindi: 5 लोगों की कभी ना करें निंदा, दुखों से भर जाएगा ...
dnpindiahindi.in
Buy R&B Soul (2 cd Collectors Tin) Online at Low Prices in India ...
amazon.in
Forklift Tyres - Forklift Tyre OEM Manufacturer from Ahmedabad
solidtyres.co.in
Current Affairs One Liners July 2022: Download Questions & Answers PDF
bankersadda.com
Buy Bakefy®-500 Plain Cup Cupcake Liners -Standard Paper Baking Cups ...
amazon.in
Chanakya Niti in Hindi: सच्चे मित्र की करनी है पहचान जान लें ये ...
dnpindiahindi.in
Why is Kanye fighting Adidas with Instagram shitposting?
dailyo.in
19 One-Line Stories That'll Make You Want To Pick Up A Book Right Now
indiatimes.com
45 कि उम्र में Malaika Arora जैसा दिखने के लिए लगाए इस फल का रस - DNP ...
dnpindiahindi.in
LIVA Miss Diva 2020 Chennai audition: Round One
femina.in
Mahendra Pressing Works Pvt. Ltd.
mpw.co.in
Brazil are dreaming of sixth World Cup title, says Neymar after 4-1 win ...
indiatoday.in
19 One-Line Stories That'll Make You Want To Pick Up A Book Right Now
indiatimes.com
19 One-Line Stories That'll Make You Want To Pick Up A Book Right Now
indiatimes.com
Liberty Walk Nissan GT-R (R35) - Pearl White - Ducktail im Maßstab 1:43 ...
mimoma.com
19 One-Line Stories That'll Make You Want To Pick Up A Book Right Now
indiatimes.com
19 One-Line Stories That'll Make You Want To Pick Up A Book Right Now
indiatimes.com
19 One-Line Stories That'll Make You Want To Pick Up A Book Right Now
indiatimes.com
Related Searches
Statcom Diagram
Statcom Symbol Simple
Statcom Circuit
Statcom One Line Symbol
Statcom Single Line Diagram
Statcom Device
Statcom Block Diagram
Statcom Basic Diagram
Statcom Clip Art
Statcom Transformer
Statcom Equipment
Bridge Rectifier Symbol
Harmonic Filter Symbol
Statcom HD
Statcom Фото
Statcom Picture Carton
Statcom Emblem Transparent
Dummy Load Symbol Sat Com
Statcom Layout Drawing
Statcom Icon
Thyristor Symbol
Statcom in Power System SLD Symbol
Statcom Illustration
Triac Schematic Symbol
Statcom Reactor
Electrical Disconnect Symbol
SME GLC Symbol
Statcom Design Name Plate
Statcom Connection Diagram
Statcom Symbols for PPT
Resistor Schematic Symbol
Set Com Diagram
Visio Statcom Symbole
Statcom Communication Box
Statcom Towers
Statcom Flow Chart
Static Compensator Symbol
IBM Statcom 7056
Statcom Graphic
Statcom Internal Circuits
Synchronous Condenser Symbol
Capacitor Bank Symbol
Statcom Charging Resistor
Statcom Capacity Graph
Static Synchronus Compensator Statcom Circuit Diagram
Statcom Equivalent Circuit
Statcom Labelled Digram
Shunt Reactor Symbol
ANZ Statcom Bay Drawing
Statcom Bay Line Da Igram
Search
×
Search
Loading...
No suggestions found