Find Your Style
Women
Men
Accessories
Search for clothing, brands, styles...
×
Women
Men
Accessories
Stockmeyer Wurstwaren
Search
Loading...
No suggestions found
Top 10 Countries Where INR Has the Highest Value in 2025
currentaffairs.adda247.com
Facts about Indian businessman who is buying Lavasa city for INR 1814 ...
timesofindia.indiatimes.com
Anand Kamalnayan Pandit — INR 8,660 Cr (Sri Lotus Developers & Realty ...
economictimes.indiatimes.com
Anand Kamalnayan Pandit — INR 8,660 Cr (Sri Lotus Developers & Realty ...
economictimes.indiatimes.com
CA Fresher bags INR 49.20 Lakhs Package in 58th ICAI Campus Placement Event
taxscan.in
Anand Kamalnayan Pandit — INR 8,660 Cr (Sri Lotus Developers & Realty ...
economictimes.indiatimes.com
Anand Kamalnayan Pandit — INR 8,660 Cr (Sri Lotus Developers & Realty ...
economictimes.indiatimes.com
Uses and SideEffects of Warfarin: What You Need to Know
medicoverhospitals.in
Warfarin Sodium
kmpharma.in
Ayat Silver Nosepins
wizzowl.com
Track Orders – Tailor Kadai
tailorkadai.in
Warfarin Impurity 6 | CAS No- NA | NA
chemicea.com
Light Weight & Daily Wear Gold Necklace Set Designs (2025) | Buy Gold ...
manubhai.in
Plus Size Golden Texture Readymade Blouse
amydus.com
Contact – valientecaps
valientecaps.com
Warfarin Sodium | CAS No- 129-06-6 | NA
chemicea.com
Plus Size Purple Print Velvet V Neck Suit Set
amydus.com
The Revival of Banarasi Weaving: How Gen Z is Embracing India's Rich T ...
rifab.co.in
Bei Aldi kommt höchstes Tierwohl jetzt auch in die Wurst | agrarheute.com
agrarheute.com
Warfarin: View Uses, Side Effects and Medicines
truemeds.in
Warfarin Sodium | CAS No- 129-06-6 | Simson Pharma Limited
simsonpharma.com
House Warming ceremony invitation card in english language with door ...
victoryinvitations.com
Certifications
pasteljade.com
(R)-Warfarin | CAS No- 5543-58-8 | Simson Pharma Limited
simsonpharma.com
100% Pure C8 MCT Keto Oil - 250ml | Aiwo – Aiwo Limited
aiwo.com
100% Pure C8 MCT Keto Oil - 250ml | Aiwo – Aiwo Limited
aiwo.com
100% Pure C8 MCT Keto Oil - 250ml | Aiwo – Aiwo Limited
aiwo.com
Warfarin R-Isomer | CAS No- 5543-58-8 | NA
chemicea.com
Get the Best Saudi Riyal to Indian Rupees Conversion Rates in India
orientexchange.in
FAQ
keydroid.in
logo_1200_x_628_px.jpg?v=1720118200
artrise.in
ABOUT HER – TBFO
tbfo.in
How to Price Your Painting in the Indian Market: A Guide for Artists ...
nehascreations.com
Mumbai Indians: 5 players MI can release ahead of IPL 2026 auction ...
crickettimes.com
From IPL To Endorsements, What Is Virat Kohli's Net Worth In 2022? One ...
in.mashable.com
Run Jump - Mocap.in
mocap.in
Amaran movie: The heart-stopping true story of Major Mukund Varadarajan
lifestyleasia.com
Sunil Gavaskar urged BCCI to restrict Salary for uncapped players to ...
bhaskarenglish.in
The Raja Saab cast salary: Who took home the biggest paycheck?
lifestyleasia.com
[NEU] Hennche Fleisch und Wurstwaren eröffnet in Siegen | Neueroeffnung ...
neueroeffnung.info
Contact
labelkaleido.com
Athul Santhosh Kumar
mbapgpxprofiles.iima.ac.in
Size Chart
shubhadesignstudio.com
Co-ord Sets
powersutra.co
Warfarin | CAS No- 81-81-2 | Simson Pharma Limited
simsonpharma.com
[NEU] Hennche Fleisch und Wurstwaren eröffnet in Siegen | Neueroeffnung ...
neueroeffnung.info
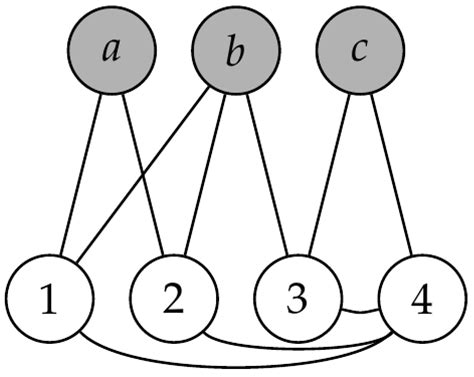
The Logic of Homophily Dynamics in Heterogeneous Networks ...
mdpi.com
10 Best Clothing Colour Combination Ideas for men: A complete Guide
ghpc.in
Warfarin-D6 | CAS No- 1261395-69-0 | Simson Pharma Limited
simsonpharma.com
The Ultimate Guide to Nappa Leather: Benefits and Importance
leathertalks.com
The Logic of Homophily Dynamics in Heterogeneous Networks ...
mdpi.com
Pant Size Chart – rawandrustic
rawandrustic.in
Jai Steel International Pvt Ltd
jaisteel.in
About us – The Gruham
thegruham.com
The Logic of Homophily Dynamics in Heterogeneous Networks ...
mdpi.com
Ducati – Motoaggrandize
motoaggrandize.in
Announcement Icon
mycsg.in
Tiruvannamalai Hotels, Tiruvannamalai Accommodation online
yatrinivas.com
Details Of Spinning: Turning Flax Fibers into Yarn for Linen Fabric
regalrarities.com
The Logic of Homophily Dynamics in Heterogeneous Networks ...
mdpi.com
10 Best Clothing Colour Combination Ideas for men: A complete Guide
ghpc.in
OET speaking Role Play cards - SETTING PATIENT TASK Hospital Casualty ...
studocu.com
Bandi Size Chart – rawandrustic
rawandrustic.in
Kurta Size Chart – rawandrustic
rawandrustic.in
Medicinal Chemistry - III - MEDICINAL CHEMISTRY – III ANTICOAGULANTS ...
studocu.com
(±)-Warfarin D5 | CAS No- 75472-93-4 | Simson Pharma Limited
simsonpharma.com
Radha Pyrotechs
radhapyrotechs.in
Related Searches
Fleisch Und Wurstwaren
Wurstwaren Alter Geschaft
Burda Wurstwaren
Giovaniello Wurstwaren
Albus Wurstwaren
Wurstwaren Frische Auslobung
Bung Wurstwaren 200G
Brandenburger Wurstwaren
Wurstwaren Fleisch Geschaft Tradiotial
Fleischwaren
Bräu Wurstwaren Classic
Zerbster Fleisch Und Wurstwaren GmbH Bierkugel
Breu Wurstwaren Classic
Wurstwaren Groß 190G Edeka
Wursttheke
Wurstsorten
Kurt Sieber Grünbderfamilie Sieber Wurstwaren Deutschland
Wurstsorten Liste
Herstellung Von Wurstwaren Tehnologie
Wurstaufschnitt
Zürich Wurstwasren
Oberländer Wurst
Wurstwaren Fleisch Geschaft
Wurstwaren Fleisch Geschaft Alter
Wurstwaren Recepte Buch
Wurscht
Schweizer Wurste
Wurstsorten Aufschnitt
Vinzenzmurr Wurstwaren
Wurstmarkt
Fleisch Und Wurstwaren Komik
Vielzahl
Schlesische Wurstwaren in Kaufbeuren
Krenkord Wurstwaren Rinderroulade Im Glas
Deutsche Wurstwaren Von Marko in Ban Chang
Viel Fleisch
Wurstwaren White
Hofmaier Wurstwaren
Geflügelfleisch
Wurstende
Feine Wurstwaren
Stockmeyer Wurstwaren
Eberswalder Würstchen
Fleisch Und Wurst
Brühwurst
Ludwigsluster Fleisch Und Wurstwaren
Deutsche Wurstwaren
Wursterei
Ostermeier Wurstwaren
Aufschnitt
Search
×
Search
Loading...
No suggestions found