Find Your Style
Women
Men
Accessories
Search for clothing, brands, styles...
×
Women
Men
Accessories
Superposition Equation Quantum Computer Simple
Search
Loading...
No suggestions found
Buy Computer Tables Online Under INR 12,000 | LBB
lbb.in
What is a Wave Function?
ospublishers.com
What is Quantum Computing? | undefined | BuzzWorthy
buzzworthy.co.in
Quantum Computing Simplified for Beginners: Basic Principles of its ...
amazon.in
QUANTUM COMPUTING
iasgyan.in
Superposition Theorem - Statement, Proof, Circuit Diagram, Formula ...
eee.poriyaan.in
Reliability Research on Quantum Neural Networks
mdpi.com
ELI5: What exactly is quantum computing anyway? | Arjun's Blog
arjunaravind.in
Verification of Superposition Theorem
vlabs.iitkgp.ernet.in
Explain superposition Theorem. - Brainly.in
brainly.in
Hybrid Quantum-Classical Neural Network for Calculating Ground State ...
mdpi.com
Majorana Zero Modes: Revolutionizing Quantum Computing
currentaffairs.adda247.com
explain the principle of superposition. - Brainly.in
brainly.in
use superposition principle to find voltage v0.plzz can any one solve ...
brainly.in
The Copenhagen Interpretation: Wave Function "Collapse"
worldscienceassociation.in
What is Quantum Computing? | undefined | BuzzWorthy
buzzworthy.co.in
AI News - Desktop
news.resnet.in
Quantum Computing, Difference from Classical Computing, Application
studyiq.com
Superposition of Two or More Simple Harmonic Oscillators Notes with Example
edurev.in
Density of states in quantum well, quantum wire and quantum dot ...
eee.poriyaan.in
Example. six simple harmonic oscllations each of same frequency and ...
scoop.eduncle.com
Superposition of Two or More Simple Harmonic Oscillators: Notes with ...
edurev.in
Quantum Physics Made Easy: The Introduction Guide For Beginners Who ...
amazon.in
Young's Double Slit Experiment: Definition, Source Types & Principles
allen.in
AI Alchemy Hub | Newsletter Volume 1, Issue 5 | April 20, 2025
newsletter.aialchemyhub.in
Superposition of Two or More Simple Harmonic Oscillators: Notes with ...
edurev.in
Basic electrical engineering Superposition theoem examples ...
studocu.com
A quantum walk approach to algorithms | Meer
meer.com
Motion of a Free Particle - Quantum Mechanics
mech.poriyaan.in
Superposition Theorem - 1slalas Date Expt. PageNo ...
studocu.com
Buy Laminated Quantum Physics Formula Equations Science Lab Scientific ...
ubuy.co.in
Quantum cybersecurity revolution in the age of AI
msn.com
Buy Quantum Mechanics, Volume 1: Basic Concepts, Tools, and ...
amazon.in
ക്വാണ്ടം കമ്പ്യൂട്ടർ & J'S MUSINGS
jsmuse.in
Is Google's new Willow quantum computer really such a big deal ...
news.sciencex.in
state the principle of superposition of waves.write the expression for ...
brainly.in
Japan unveils its first quantum computer that is 100 times faster than ...
ibtimes.co.in
ELI5: What exactly is quantum computing anyway? | Arjun's Blog
arjunaravind.in
Superposition and Interference - Basic Physics for IIT JAM PDF Download
edurev.in
Quick Guide to Deflection of Beams - Calculation, Formula and Table
apsed.in
Basic electrical engineering Superposition theoem examples ...
studocu.com
Explain by drawing a suitable diagram that the interference pattern in ...
ask.learncbse.in
Google wants to solve tricky physics problems with quantum computers ...
news.sciencex.in
Buy Principles of Quantum Mechanics Book Online at Low Prices in India ...
amazon.in
IBM reveals faster Heron R2 quantum computing chip: Why this matters
digit.in
Tech Talk - 8 | Ujjwalit
ujjwalit.co.in
Young's Double Slit Experiment: Definition, Source Types & Principles
allen.in
Buy Quantum Mechanics: From Basic Principles to Numerical Methods and ...
amazon.in
Why NASA Shut Down Quantum Computer | Uday India
udayindia.in
Calculator for Engineers | Bending Moment Calculator | Beam Calculator
constructioncivilengineering.com
Google Creates History With Worlds Fastest Quantum Computer Heres What ...
mensxp.com
Quantum Mechanical Model Of An Atom, Heisenberg’s Uncertainty Principle ...
pw.live
👉 Solving Algebraic Equations Worksheet | Beyond
twinkl.co.in
Quantum Mechanic Concepts And Applications: Buy Quantum Mechanic ...
flipkart.com
ELI5: What exactly is quantum computing anyway? | Arjun's Blog
arjunaravind.in
Going deeper into IBM’s Quantum Experience! – Giga thoughts
gigadom.in
The Future Of Quantum Computing And Paving The Pathway For 'Quantum ...
indiatimes.com
Trigonometry Formulas and Identities, All Formula List
careerpower.in
This Is Google's Sycamore Quantum Computer. Take A Look! - MobyGeek.com
mobygeek.com
what is the principle of stratigraphy? - Brainly.in
brainly.in
This Superconducting Material Could Power Quantum Computers - MobyGeek.com
mobygeek.com
Majorana Zero Modes: Revolutionizing Quantum Computing
currentaffairs.adda247.com
ELI5: What exactly is quantum computing anyway? | Arjun's Blog
arjunaravind.in
Bending Stresses in Beam | Bending Stresses Calculator | Simply ...
civildailyinfo.com
LRS Cash Receipt Book - 50 Sheets (Pack of 3) : Amazon.in: Office Products
amazon.in
All Algebraic Formulas PDF, Class 10 & 12 Maths Identities
adda247.com
Heisenberg uncertainty principle formula - Brainly.in
brainly.in
What a p-Value Tells You about Statistical Data - India Dictionary
1investing.in
RRCAT- Raja Ramanna Centre for Advanced Technology, Indore
rrcat.gov.in
IBM Unveils Its Latest 1,000-Qubit Quantum Chip Named 'Condor'
currentaffairs.adda247.com
Please solve it. 11th class accountancy question. Accounting equation ...
brainly.in
Computer Basics Display Poster - KS1 Twinkl
twinkl.co.in
Google Willow quantum chip explained: Faster than a supercomputer
digit.in
What is Noise-Cancelation and what can I expect? | Sony IN
sony.co.in
Vital component for building practical quantum computers invented using ...
ibtimes.co.in
Frequency of energy change from kinetic energy to potential energy in ...
scoop.eduncle.com
Mnemonics: Dual Nature of Radiation and Matter - Physics Class 12 ...
edurev.in
News-2023-04-03 | Raman Research Institute
rri.res.in
derive the relation between kinetic energy of a body and its momentum ...
brainly.in
IBM unveils quantum processor with 433 qubits
techcircle.in
Measuring the Success of India's Quantum Computing Efforts
qkrishi.com
Buy Quantum Physics For Complete Beginners: A Comprehensive Step-By ...
desertcart.in
IBM's experiment hints at quantum computers surpassing classical ones ...
theweek.in
A Look at Relativity and Time Travel - EE Times India
eetindia.co.in
Buy Computer Solution of Differential Equations Book Online at Low ...
amazon.in
All physics formulas explanation - Brainly.in
brainly.in
Parts of a Computer Poster,Computing
twinkl.co.in
AQA A level Computer Science eBook : Reeves, Bob: Amazon.in: Kindle Store
amazon.in
Poster 最新アイテム
indiantelevision.com
China’s SpinQ Technology claims it's selling portable quantum computers
techcircle.in
कंप्यूटर के अनुप्रयोग (applications and use of computer in various fields)
topprs.in
HCL Technologies partners Microsoft to bring quantum computing to clients
techcircle.in
NCERT Solutions for Class 7 Maths Chapter 4 Simple Equations - Amresh ...
amreshacademy.in
Quantum Supremacy: How Quantum Computers will Unlock the Mysteries of ...
amazon.in
Applications of Ordinary Differential Equations - 111 3 Application of ...
studocu.com
For each of the given equation given the steps to use to separate the ...
brainly.in
Photosynthesis Definition, Equation, Diagram, Process
careerpower.in
‘Quantum computers need to work alongside classical ones’
techcircle.in
India In The Elite Club With National Quantum Mission Of Rs. 6000 ...
in.mashable.com
Computer Parts Diagram Royalty Free Vector Image, 41% OFF
elevate.in
Q1. Prepare an Accounting Equation from the following: 1. Started ...
brainly.in
Computer Networking Tutorial - C/N Tutorial
sitesbay.com
The Media Equation: How People Treat Computers, Television, and New ...
amazon.in
Create an equivalent system of equations using the sum of the system ...
brainly.in
Write a linear equation in two variables to represent the the statement ...
brainly.in
Prove that the Accounting Equation is satisfied in all the following ...
brainly.in
a 100 metre long train crosses a man travelling at 5 km per hour in ...
brainly.in
Computer Oriented Numerical Methods By N Datta
vikaspublishing.com
the sum of 3 members are in HP. is 37 and the sum of their reciprocals ...
brainly.in
HP 50g Graphing Calculator: Amazon.in: Office Products
amazon.in
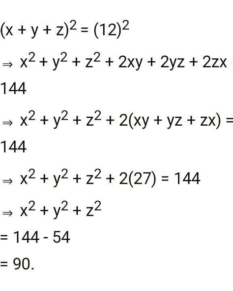
If x + y + z = 12 and xy + yz + zx = 27; find x2 + y2 + z2. - Brainly.in
brainly.in
साल 2022 में 6,775 URL को बंद करने के लिए निर्देश दिए गए : IT ...
ndtv.in
Related Searches
Superposition Equation
Quantum Computing Superposition Equation
Quantum Theory Equation
Superposition Principle Equation
Superposition in Quantum Mechanics
Superposition Principle Physics
Quantum Superposition State
Superposition of Waves Equation
Particle Superposition
Electron Superposition
Quantum Chemistry
Entanglement Equation
Superposition Linear Equation
Quantum Computer Superposition
Superposition Matrix
Superposition Equation Quantum Computer Simple
Schroedinger Equation
Erwin Schrodinger Wave Equation
Krishna Quantum Superposition
Superposition State Quantum Copmuting Equation
Quantum Superposition Equation Polarization
Quantum Momentum Operator
Quantum Tunneling Equation
Quantum Wave Function
Quantum Superposition Experiment
Quantum Spin Superposition
Schrodinger Equation Wave Function
Quantum Superposition Illusion
Quantum Collision Theory
Quantum Superposition of a Man
Superposition Atom
Quantum Entanglement Formula
Quantum Computation
Superposition Theorem Examples
Superposition Phi 1 Phi 2 Quantum Equation
Superposition Icon Quantum
Quantum Superposition Qubit
Quantum Superposition Skiing
Superpposition
Quantum Physics Equations
Quantum Superposition Schrodinger in a Diagram
Superposition Inquantum
Quantum Automata State Superposition
What Does a Quantum Computer Look Like
Dirac Superposition Equation
Quantum Physics Time and Space
Quntum Superposition
Time-Dependent Schrodinger Equation Solution
Quantum Superposition Depicted
Quantum Superposition and Measurement Diagram
Search
×
Search
Loading...
No suggestions found