Find Your Style
Women
Men
Accessories
Search for clothing, brands, styles...
×
Women
Men
Accessories
Tariffs And Rising Wages
Search
Loading...
No suggestions found
Donald Trump announces 26% 'discounted' reciprocal tariff on India ...
msn.com
The comparison of public transport fares in big cities - Discount ...
picodi.com
India–US Trade Deal Is ‘Only a Matter of Time,’ Says Commerce Secretary
niftytrader.in
Momex | news
momex.in
India, EU to hold FTA talks amid Trump tariff threats
msn.com
India’s Rural Economy On Path To Recovery: Strong Monsoon, Rising Wages ...
msn.com
Theory Of Demand And Supply, Meaning, Curve, Elasticity
pw.live
Trends in Economic Inequality in India | The India Forum
theindiaforum.in
Trump say Xi called him amid conflicting reports on US-China tariff ...
foxnews.com
The Impact of the COVID-19 Pandemic on Freight Transportation Services ...
usitc.gov
USD/INR: Indian Rupee Drops to 2-Mth Low on June 19 Amid Rising Crude ...
angelone.in
Chinese firms head to Global South amid rising US tariffs: S&P Global
ianslive.in
Rising Tariffs Rising Costs - How Tariffs Effect Us All eBook ...
amazon.in
Rising Beyond Tariffs
msn.com
Indian Rupee Stable, Forward Premiums Decline Ahead
businessoutreach.in
What is Balance of Trade: Meaning, Types and Examples
godigit.com
Oil prices jump on supply disruption fears from US tariffs
msn.com
Trump’s tariffs and their hidden impact on working-class Americans ...
msn.com
SOME KEY DEFINITIONS OF ECONOMIC FOR UPSC
iasgyan.in
Commerce ministry opposes labour ministry's minimum wages proposal ...
economictimes.indiatimes.com
Powerloom sector wages, EB tariff major poll issues in Sulur segment
dtnext.in
'Sabka boss doesn't like India's rise': Rajnath Singh's swipe at Trump ...
economictimes.indiatimes.com
Pilot Salary 2024: In India for Freshers and Experienced, Per Month ...
collegesearch.in
Decline of Indian Rupee
studyiq.com
Crude Oil Rises as Investors Eye Trump’s Tariff Threats on Mexico ...
in.investing.com
Gold prices retreat as traders secure profits after near 2-month high ...
livemint.com
US Proposes New Tariffs: How They Could Reshape Global Trade Dynamics ...
smartlocus.in
As shareholder profits increase, workers’ wages have stagnated - The ...
sltrib.com
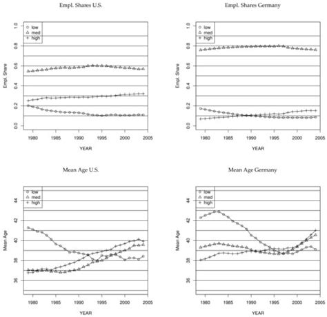
Polarization and Rising Wage Inequality: Comparing the U.S. and Germany
mdpi.com
Polarization and Rising Wage Inequality: Comparing the U.S. and Germany
mdpi.com
US Tariffs China Strikes Back With 34 Tariffs on US Goods Sparks Trade ...
goodreturns.in
UK minimum wage set to rise in 2024, how will it affect you ...
timesofindia.indiatimes.com
Rising Prices, Rice Crisis, Tariffs: Threaten Japan's Coalition Ahead ...
msn.com
GTA 6 and Switch 2 set to boost game spending despite rising global ...
tech.hindustantimes.com
H-1B modernisation rule: Entrepreneurs can get H-1B visa sponsored by ...
timesofindia.indiatimes.com
Short News - GS SCORE
iasscore.in
Preparing for Peak Season: Logistics Tips for Indian Businesses
cavalierlogistics.in
China sees surge in worker protests over unpaid wages, factory closures ...
aninews.in
Trump accuses Senate Democrats of delaying his nominees for money | Fox ...
foxnews.com
Mark Cuban makes dire prediction, says consumers could see empty ...
msn.com
Russian crude oil: US on India buying Russian crude oil: 'Every ...
economictimes.indiatimes.com
Паттерны в техническом анализе — Teletype
teletype.in
Donald Trump’s Tariffs To Rising Inflation: Stagflation Fears Surround ...
msn.com
Rising Servicification of Manufacturing and Its Impact on Wage Growth
vajiramandravi.com
RBI releases ‘Financial Stability Report, December 2024’ | Current ...
visionias.in
Coimbatore and Tirupur MSMEs grapple with the repercussions of GST ...
taxscan.in
Not just globally, U.S also hit hard by Trump's tariffs: Microsoft ...
msn.com
New poll shows rising alarm among Canadians over U.S. tariffs, Donald ...
msn.com
As Trump wages a tariff war, Wall Street feels the heat of a shifting ...
msn.com
Oil Prices Hold Steady Amid Fresh Set Of Trump Tariffs, Rise In US ...
in.investing.com
Rise and fall of crypto exchange FTX: A Timeline | Tech News (HT Tech)
tech.hindustantimes.com
PIB Summary - 1st August 2025(Hindi) - Current Affairs (Hindi): Daily ...
edurev.in
Ray Dalio says tariffs mask deeper U.S. decline, China rise in once-in ...
msn.com
Inflation may rise, growth may dip, US Fed chair Jerome Powell cautions ...
msn.com
Polarization and Rising Wage Inequality: Comparing the U.S. and Germany
mdpi.com
Polarization and Rising Wage Inequality: Comparing the U.S. and Germany
mdpi.com
Local
wmtv15news.com
Tariffs may have helped US as China, India started rising as ...
msn.com
"India trying to negotiate bilateral trade agreement with US by fall ...
aninews.in
Tariffs reflect fear over India’s rise: Mohan Bhagwat
msn.com
copper price today per kg india inr: Latest News & Videos, Photos about ...
economictimes.indiatimes.com
10 Phrases you should never say to your boss | TJinsite
content.timesjobs.com
Breaking | EU analysing US Supreme Court tariff ruling carefully, UK ...
msn.com
TCS employees bear the brunt of Trump tariff-induced uncertainties ...
theweek.in
SCOPE TO REDUCE TRADE DEFICIT WITH CHINA BY $8 BILLION IN FY21-22
acuite.in
world economy: Latest News & Videos, Photos about world economy | The ...
economictimes.indiatimes.com
Zinc Prices Rise as U.S. Plans Reciprocal Tariffs With No Immediate ...
in.investing.com
Gold Prices Rise Amid Uncertainty Over Trump’s Tariff Plans, Boosting ...
in.investing.com
Pharma sector faces tariff threats amid rising US trade actions: Report
aninews.in
Fed Chief Powell predicts rising inflation, slower growth amid tariff ...
economictimes.indiatimes.com
Breaking: Trump's first reaction on tariff ruling, calls Supreme Court ...
msn.com
Sabka boss doesn't like India's rise: Rajnath Singh's swipe at Trump ...
msn.com
Japan PM Ishiba’s Coalition Projected To Lose Upper House Amid ...
msn.com
MSN
msn.com
India’s Current Account Deficit FY25: Why It’s Lower Than Expected
finnovate.in
Us Unemployment Claims Rise Sharply Amid Tariff-Driven Layoffs Concerns ...
thebonus.in
Police Rising: Protests For Fair Wages In Funchal
timesofmadeira.com
Auto News - Cars and Bikes in India, Electric Vehicles, New, Upcoming ...
firstpost.com
Consumer Sentiment Continues To Rise In July Despite Trump’s Tariff War ...
in.investing.com
ইতিহাস গড়লেন ট্রাম্পের হোয়াইট হাউসের ২৭ বছরের প্রেস সেক্রেটারি
kolkata24x7.in
Should India snap trade with Pakistan? Five charts show why that won't ...
scroll.in
salary slip co operative bank: Latest News & Videos, Photos about ...
economictimes.indiatimes.com
Investors rush to buy gold as Trump tariff fears rise
msn.com
Karnataka power tariff to rise by 36 paise per unit from April 1
english.varthabharati.in
Economic buzz: US flash PMI indicates slowest business growth for ten ...
msn.com
ET Market Watch: Markets flat, tariff fears rise; Trump’s warning ...
economictimes.indiatimes.com
China's Tariff Retaliation: Trump’s Plan and Bitcoin's Rise!
cryptopanic.com
eftps payment due schedule: Latest News & Videos, Photos about eftps ...
economictimes.indiatimes.com
Investors rush to buy gold as Trump tariff fears rise
msn.com
Felix's staggering wage rise at Al-Nassr revealed
sportsermon.in
Russia-Ukraine war: Ukraine reports drone strikes in Kharkiv ...
msn.com
Buy Scarves & Fancy Stoles for Women Online at the Best Price - Global Desi
globaldesi.in
A billionaire’s radical take on rent
msn.com
US Removes 50% Tariff On India’s Tea-Coffee-Spices, Trump Admin Steps ...
freepressjournal.in
What Ivana Trump was doing in her final days
msn.com
€915 Before Taxes: Madeira’s Minimum Wage Set to Rise
timesofmadeira.com
TrueCar launches car-buying partnership with Navy Federal Credit Union ...
autonews.com
18 फ़रवरी 2026 कैसा रहेगा कन्या राशि वालों के लिए | Virgo horoscope for ...
msn.com
Liberty City Shooting
kltv.com
Why petrol prices in India are higher than in Pakistan, Bangladesh and ...
indiatracker.in
Top 10 Wayanad Hotels For A Perfect Stay Amidst Nature
traveltriangle.com
tu juliet jatt di serial th dec vedio: Latest News & Videos, Photos ...
economictimes.indiatimes.com
Epstein files probe: Ex-Prince Andrew was arrested over alleged ...
msn.com
Economic Calendar - Investing.com India
in.investing.com
Epstein files probe: Former Prince Andrew released from custody | WION
msn.com
Pakistan: Is Asim Munir Pakistan’s real power centre? Khwaja Asif ...
msn.com
UN probe finds RSF inflicted three days of 'absolute horror'
msn.com
Tamil Nadu Electricity Board Workers to Strike Demanding Wage Revision ...
newsclick.in
Inflation: Inflation in US will offer pleasant surprise to equity ...
economictimes.indiatimes.com
NO WAY!I INSANE 100 DAY ICON PLAYER PICK!
msn.com
cotton prices: Latest News & Videos, Photos about cotton prices | The ...
economictimes.indiatimes.com
cotton prices: Latest News & Videos, Photos about cotton prices | The ...
economictimes.indiatimes.com
7 Best Airbnb Beach Houses In The World For All Budgets!
traveltriangle.com
draw the line graph showing growth of population in india from 1901-91 ...
brainly.in
8 Resorts In Visakhapatnam That Offer Exceptional Luxury
traveltriangle.com
10 Light-On-Pocket Coorg Hotels For Every Budget
traveltriangle.com
10 Effective Ways to Increase Your Landing Page Conversion Rate
sassyinfotech.com
битка ако можеш заем columbia sportswear romania санкция Препоръчвам ...
sccskolkata.in
KARNATAKA: AIKS Rally Raises Vital Demands | Peoples Democracy
peoplesdemocracy.in
Treehouse Resorts Near Delhi For A Hushed Stay In The Hills
traveltriangle.com
Related Searches
Tariff Inflation
Tariff Impact
U.S. China Trade Tariffs
Import Tariff
High Tariffs
U.S. China Tariff
China Tariffs On US Goods
Import and Export Tariffs
Efect Tariff
Tariff Increase
TK Tok Rising Tariffs
Low Tariffs
Tariff Price Effects
Tariffs 符号
Tariffs Raise Prices
US Historical Tariff Rates
Effects of Tariffs On Consumers
Tariffs and Rising Wages
Shipping Tariffs
American Tariffs On China
Tariff Definition Economics
Tariffs On Imported Goods
What Is a Tariff
Rising Cost Due to Tariffs Statement
Average Tariff Rate
Tariff Rising Graphs
Tariff Uncertainty
Tariffs Logistics
Tariffs Vs. Inflation
What Tariffs and Rising Costs of Goods Means to Consumer Pricing in the Store
Raising Prices Due to Tariffs
Tariffs On Mexico
Ever-Changing Tariffs
Export Tariff
Us Tariffs On China
U.S. Tariffs
Tariffs by Country
Tariff PNG
U.S. Average Tariff Rate
A Line Graph On Tariffs Price Rising
Tariff Revenue Graph
Tariff News
Who Pays Tariffs On Imports
Tariffs Ship
Tariff Sheriff
Truck Costs Rising From Tariff
Morrill Tariff
Tariff Infographic
Tariff Pause
NCP Tariffs
Search
×
Search
Loading...
No suggestions found