Find Your Style
Women
Men
Accessories
Search for clothing, brands, styles...
×
Women
Men
Accessories
Uhot Rice Hull
Search
Loading...
No suggestions found
Dig Into Asia Kitchen's Six Course Meal For Just INR 666 | LBB
lbb.in
INR Full Form: What is full form of INR?
bankersadda.com
Andheri Eatery Is Giving Tikkas Only For INR 1 Today | LBB Mumbai
lbb.in
AO Smith Z8 Instant Hot and Ambient Water| INR 4000 Off on Exchange ...
amazon.in
These Vegetarian Thalis Under INR 300 Will Leave You {And Your Wallet ...
lbb.in
BUY HOLO Token (HOT) in INR on PocketBits!
pocketbits.in
Craving Home-Cooked Food? Check Out This Dabba For INR 75 | LBB
lbb.in
Carbonized Rice Hull (CRH) | Soiled
soiled.in
Buy Rice Hulls Soil Mix for s - 1KG Natural Rice Husk/Hulls 100% Pure ...
desertcart.in
Rice Hulls Soil Mix for Plants - 1KG Natural Rice Husk/Hulls 100% Pure ...
amazon.in
SO2 Tolerance of Rice Hull Ash Based Fe-Cu Catalysts for Low ...
mdpi.com
Coco Peat mix With Rice Hulls Media ( pack of 3 kg ) – GreenParadiseLive
greenparadiselive.com
Rice Hulls Soil Mix for Plants - 1KG Natural Rice Husk/Hulls 100% Pure ...
amazon.in
SR Enterprises Rice Hulls Paddy Husk For Homom,Pooja And Small Plants ...
amazon.in
Sathi Rice Husk/ Rice Hulls/ Rice Paddy-500gm Husk Price in India - Buy ...
flipkart.com
SO2 Tolerance of Rice Hull Ash Based Fe-Cu Catalysts for Low ...
mdpi.com
Rice Hulls/Paddy Husk, 19 Kg (Brown) : Amazon.in: Garden & Outdoors
amazon.in
Green Paradise® Parboiled Rice Hulls (husk) Best Horticuture Grade Rice ...
amazon.in
Rice husk for plants 500grams
alkarty.com
Wealth out of Waste: Poultry Litter Compost and Vermicompost by ...
icar.org.in
SO2 Tolerance of Rice Hull Ash Based Fe-Cu Catalysts for Low ...
mdpi.com
International Rice Research Institute
vajiramandravi.com
Rice Hulls Paddy Husk, 1 Kg (Yellow) – GreenParadiseLive
greenparadiselive.com
Mastering Your Rice Cooker: 5 Essential Tips for Perfect Results
wiproappliances.com
Solheim Cup 2024: Charley Hull and Esther Henseleit to lead out Team ...
skysports.com
Lexie Hull: A Rising Star's Journey With The Indiana Fever
wikibiostars.in
Gardening Bee Organic Rice Hulls (Husk) for Plants - (10kg) Best Paddy ...
amazon.in
Navya Agriallied Rice Husk Paddy Hull Powder for Seed Starting Mix and ...
amazon.in
LPGA Tour: Lydia Ko fights off Jeeno Thitikul as Charley Hull fades at ...
skysports.com
Buy , ( | 100% 100% 100% (TAG1 1 1 . Online India | Ubuy
ubuy.co.in
Rice Husk Ash-Based Concrete Composites: A Critical Review of Their ...
mdpi.com
Sai Organics Natural Rice Husk/ Rice Hulls 100% Pure & Organic Manure ...
flipkart.com
Sai Organics Natural Rice Husk/ Rice Hulls 100% Pure & Organic Manure ...
flipkart.com
University of Hull Fees 2026: Tuition Fees, Annual Cost, Financial Aids
shiksha.com
TNAU Agritech Portal :: Post Harvest Technology
agritech.tnau.ac.in
घी चावल रेसिपी | ghee rice in hindi | नै चोरु | घी राइस | घी भाथ
hebbarskitchen.com
Beauty of Joseon Ground Rice and Honey Glow Mask (150 ml) – My Store
pipkart.com
Gardening Bee Organic Paddy Rice Hulls (Husk) For Plants, 100% Pure Mix ...
flipkart.com
Basmati Rice
dayli.in
Perfect Urad Dal and Rice Ratio: For Fluffy Idlis, Crisp Dosas & More
milkandmore.co.in
India Gate Basmati Rice Super, 1kg (with Free 500g) : Amazon.in ...
amazon.in
University of Hull: Rankings, Fees, Courses, Admission 2026 ...
shiksha.com
BEAUTY OF JOSEON Ground Rice and Honey Glow Mask (150ml) – CIETTE BEAUTY
ciettebeauty.com
12 Inch Paddy Husk Plate (Rice Husk)-(Pack of 10)
mystore.in
rice hulls for plants paddy husk for garden plant rice hulls rice hulls ...
divinetreeindia.com
Natural Alternatives to Perlite in Your Garden
kheduthelp.in
Hand Shovel - Stainless Steel Rice Shovel Manufacturer from Mumbai
sagkitchenequipment.co.in
DADFirm - Rice Hulls-Paddy Husk - Natural Organic Rice Hulls/Paddy Husk ...
amazon.in
Dadfirm - Rice Hulls-Paddy Husk - Natural Organic Rice Hulls/Paddy Husk ...
amazon.in
Agro Trade
agro-trade.in
Organic Plant Rice Husk for Gardening (5) : Amazon.in: Garden & Outdoors
amazon.in
Ladies European Tour: Charley Hull slips back as Jeeno Thitikul pulls ...
skysports.com
Gardening Bee Organic Rice Hulls (Husk) for Plants - (10kg) Best Paddy ...
amazon.in
Multi Bazar Rice Hulls-Paddy Husk - Natural Organic Rice Hulls / Paddy ...
flipkart.com
Gardening Bee Organic Paddy Rice Hulls (Husk) For Plants, 100% Pure Mix ...
flipkart.com
Rice Hull Ash
ricehullash.com
Agro Trade
agro-trade.in
Viswak Rice Paddy Hulls Powder|500g|Plants Grow Soil Mix|Natural ...
flipkart.com
Beauty Of Joseon Ground Rice and Honey Glow Mask
carenclass.com
Gardening Bee Organic Paddy Rice Hulls (Husk) For Plants, 100% Pure Mix ...
flipkart.com
Gardening Bee Organic Rice Hulls (Husk) for Plants - (10kg) Best Paddy ...
amazon.in
Kandimalla Rice Hull/Husk Soilmix Potting Mix for Seed Growing|for ...
amazon.in
Satkar Rice Plate House | LBB
lbb.in
Multi Bazar Natural Rice Hulls Paddy Husk | Yellow | 900 Grams | Soil ...
flipkart.com
GARDECO Organic Rice Hulls/Paddy Husk for Garden Potting Mixture Price ...
flipkart.com
TAJ RESTAURANT, Bhimavaram - Goraka
goraka.in
Hull KR Challenge Cup hero Mikey Lewis shows star power to help Rovers ...
skysports.com
University of Hull: Rankings, Fees, Courses, Admission 2026 ...
shiksha.com
The University of Hull, UK - Ranking, Reviews, Courses, Tuition Fees ...
hotcoursesabroad.com
S Season Organic Natural Rice Paddy Husk | Rice Hulls Soil Mix for ...
amazon.in
18 regional rice dishes of India that define simplicity at its best ...
recipes.timesofindia.com
Rice Hulls/ Rice Husk Natural Organic Paddy Husk-House Plants Gardening ...
amazon.in
LPGA: Charley Hull in hunt behind Minjee Lee at Kroger Queen City ...
skysports.com
Recent important insight into nutraceuticals potential of pigmented ...
jabonline.in
Buy Paddy Husk-Rice Hulls(50grams) - Rs.19/- Sale Online India – The ...
theaffordableorganicstore.com
EVERGROW Rice Hulls-Paddy Husk 10kg Husk Husk Price in India - Buy ...
flipkart.com
Numerical Prediction of Hydrodynamic Performance of Planing Trimaran ...
mdpi.com
The University of Hull, UK - Ranking, Reviews, Courses, Tuition Fees ...
hotcoursesabroad.com
Side Effects Of Eating Cold Rice For Lunch | OnlyMyHealth
onlymyhealth.com
Beauty Of Joseon Ground Rice and Honey Glow Mask
carenclass.com
TheTasteCompany Chicken Curry Rice - Ready To Eat | Instant Food ...
amazon.in
Sona Masoori
ricebee.in
Rice Cooker Electric Cookers - Buy Rice Cooker Electric Cookers Online ...
flipkart.com
Buy Parik Enterprises Stainless Steel Cassrolle, Hot Pot for Canteen ...
amazon.in
Design and Manufacturing Process of a New Type of Deep-Sea Spherical ...
mdpi.com
ORGANIC ERA OERA Rice Paddy Husk Rice Hulls for Plants (450 Gram) Husk ...
flipkart.com
Pride Foods Rice 'N Grinds, 100% Natural Hot Rice Cereal, Strawberry ...
amazon.in
Buy Rema - Hot Box Casserole Steel Pot Insulated Thermoware Food ...
amazon.in
Curd recipe : ऐसे बनाएं बचे हुए चावल से Curd Rice, बनाने की विधि है ...
ndtv.in
B&B Organics Bamboo Rice (1kg), Nutrient and Fibre Rich/Moongil Arisi ...
amazon.in
International Rice Research Institute (IRRI)
vajiramandravi.com
Doctor'sPowerRiceSilicaPremium | 植物性ケイ素ライスシリカ公式代理店
kenkootaku.thebase.in
Variety Rice Platter Recipe by Bethica Das - Cookpad
cookpad.com
Best Pillow for NeckPain- Rice Husk Pillow - india, bangalore, delhi ...
saveglobe.in
KVD Collection Bangla Premium Kolkata special Rice Moori - 500G | Muri ...
amazon.in
Red Hot Banana Chips – studio joog
studiojoog.com
Food Steamer Electric Cookers: Buy Food Steam Cooker Online in India ...
flipkart.com
Bronte Law accuses Charley Hull and Georgia Hall of lacking decency in ...
skysports.com
LPGA's International Crown: Charley Hull sinks 12-foot birdie for World ...
skysports.com
Charley Hull makes solid start on Ladies European Tour return at PIF ...
skysports.com
Rice | LBB
lbb.in
Sai Organics Natural Rice Husk/ Rice Hulls Powder 100% Pure & Organic ...
flipkart.com
Buy Chilli Rice Crackers 1kg – Hot Crunchy Cri Sweet & Spicy Flavour ...
desertcart.in
Optimal Urad Dal and Rice Ratio for Perfect Dosa Batter
recipeshindi.in
Menu at The Hot Rice Theory, Belgaum
restaurant-guru.in
Buy Stainless Steel Hot Pot Insulated Food Warmer Double Wall Round ...
desertcart.in
This Restaurant In Andheri West Serves Delectable Kepsa Rice | LBB
lbb.in
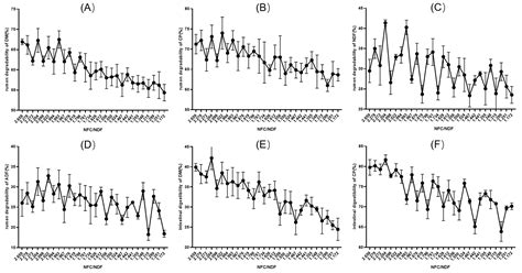
Study on Rumen Degradability and Intestinal Digestibility of Mutton ...
mdpi.com
Buy Mysore Silk Sarees online at Best Price | Shrus
shrus.com
Sri Laxmi Rice Hulls (Husk) Best Horticuture Grade Rice Husk for Ideal ...
amazon.in
Home | APEDA
apeda.gov.in
Yellow stemborer, Rice pests of DSS, croppest DSS, Scirpophaga incertulas
icar-crida.res.in
Buy HRBS Limited Edition Samyang Carbo Buldak Super Hot Spicy Noodle 5 ...
desertcart.in
Wealth out of Waste: Poultry Litter Compost and Vermicompost by ...
icar.org.in
University of Hull: Rankings, Fees, Courses, Admission 2026 ...
shiksha.com
Buy Rice Vermicelli Online from L G K international at Best Price
mirchi.com
17 Best Rice Brands in India
grabon.in
University of Hull Admission 2025: Application Dates & Deadlines ...
shiksha.com
Buy Samyang Hot Chicken Buldak Rice Noodles, 185 grams Pouch, small ...
desertcart.in
From Iraq to Burma: These recipes show that Bengalis aren’t alone in ...
scroll.in
Related Searches
Fonato Rice Hot
Uhot Rice Hull
Hot Rice Recipe
Hot Rice Bunny
Ohio Hot Rice
Hot Steamed Rice
African Jollof Rice
Nando's Rice
Hot Box for Rice
Hot Rice Bunnies
Top Hot Rice
Steam Rice
Basmati Rice
Reheating Rice
Hot Holding Rice
Hot Plate Rice
Rice Hot Bwol
Self Heating Rice
Hot Rice Clip Art
Instant Pot Rice Recipe
Hot Food Rice
Beef Consomme Rice
Warm Rice
Reheat Rice
Nigeria Cooed Rice
Reash Rice
Hot Rice and Meat
Fridge in Rice
Cut Up Rice
Self Heating Rice Meal
Cooling Hot Rice
Rice Cooking Patila
Hot Rice Filter
Bateria On Rice
Hot Rice in Rice Cooker
Rice Grayscale
Cold and Hot Rice
Sticky Rice Bao
Cooked White Rice
Hototay Rice
Hot Jellof Rice
Semi Milled Rice
Hot Sticky Rice Stock
How to Cool Hot Rice
Steaming Hot Rice
Electric Rice Cooking
A Bowl of Rice
Barberton Hot Rice Recipe
Sublimation Hot Rice
Same Eat Hot Rice
Search
×
Search
Loading...
No suggestions found