Find Your Style
Women
Men
Accessories
Search for clothing, brands, styles...
×
Women
Men
Accessories
Wbu Issues
Search
Loading...
No suggestions found
Japan: Mount Fuji imposes INR 1108 entry fee to tackle overtourism ...
timesofindia.indiatimes.com
Japan: Mount Fuji imposes INR 1108 entry fee to tackle overtourism ...
timesofindia.indiatimes.com
Japan: Mount Fuji imposes INR 1108 entry fee to tackle overtourism ...
timesofindia.indiatimes.com
Japan: Mount Fuji imposes INR 1108 entry fee to tackle overtourism ...
timesofindia.indiatimes.com
hdfc bank exchange rate usd to inr today: Latest News & Videos, Photos ...
economictimes.indiatimes.com
GSTN Requires e-Invoicing for Turnovers Beyond INR 5 Crores Starting ...
taxscan.in
Aware of infrastructural problems at Supreme Court, have sanctioned INR ...
lawbeat.in
CBIC issues Clarification on Export Remittances in Special INR Vostro ...
taxscan.in
RBI Overhauls Ombudsman Framework: Issues Draft Schemes for Banks ...
taxscan.in
MHA Issues Alert on Rising Fake ₹500 Notes: How to Check Real Note?
angelone.in
30 Journal Entry Problems (Amounts in INR) - Indian Format - Studocu
studocu.com
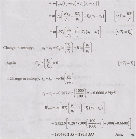
Solved Anna University Problems on closed systems (cyclic process ...
mech.poriyaan.in
Delhi High Court: ‘Mere Addition of Numerals Does Not Distinguish ...
24law.in
Buy Advanced Problems in Physics for JEE Combo (Vol 1&2) Shashi Bhushan ...
amazon.in
Solved Anna University Problems on closed systems (cyclic process ...
mech.poriyaan.in
Samsung Launches ‘Solve for Tomorrow’, an Innovation Competition for ...
news.samsung.com
1xBet Withdrawal Time: Rules and problems in India
telecomasia.net
Solved Anna University Problems on open systems for steady flow ...
mech.poriyaan.in
Solved Anna University Problems on Heat Engines, Refrigerators and Heat ...
mech.poriyaan.in
Solved Anna University Problems on closed systems (Non – Flow Processes ...
mech.poriyaan.in
Solved Anna University Problems on Entropy principles - Thermodynamics
mech.poriyaan.in
Solved Anna University Problems on closed systems (Non – Flow Processes ...
mech.poriyaan.in
Solved Anna University Problems on Heat Engines, Refrigerators and Heat ...
mech.poriyaan.in
Solved Anna University Problems on Entropy principles - Thermodynamics
mech.poriyaan.in
Solved Anna University Problems on closed systems (cyclic process ...
mech.poriyaan.in
solved anna university problems on machining time - Turning Machines ...
mech.poriyaan.in
Solved Anna University Problems on closed systems (cyclic process ...
mech.poriyaan.in
Solved Anna University Problems on closed systems (cyclic process ...
mech.poriyaan.in
Solved Anna University Problems on Thermodynamic Processes
mech.poriyaan.in
Solved Anna University Problems on Gas Mixtures - Gas Mixtures and ...
mech.poriyaan.in
Solved Anna University Problems on Availability, Irreversibility and ...
mech.poriyaan.in
Solved Anna University Problems on Heat Engines, Refrigerators and Heat ...
mech.poriyaan.in
Solved Anna University Problems on Entropy principles - Thermodynamics
mech.poriyaan.in
Solved Anna University Problems on Thermodynamic Processes
mech.poriyaan.in
Solved Anna University Problems on Entropy principles - Thermodynamics
mech.poriyaan.in
Solved Anna University Problems on Availability, Irreversibility and ...
mech.poriyaan.in
Solved Anna University Problems on Entropy principles - Thermodynamics
mech.poriyaan.in
Solved Anna University Problems on Availability, Irreversibility and ...
mech.poriyaan.in
solved anna university problems on cutting forces - Mechanics of Metal ...
mech.poriyaan.in
Chandigarh Panjab University issues echo during special session of ...
theweek.in
Solved Anna University Problems on Heat Engines, Refrigerators and Heat ...
mech.poriyaan.in
Jaish-e-Mohammad Doctor Module Case: Al-Falah University Issues ...
newsthetruth.com
COVID-19: Sambalpur University Issues Stern Guidelines For PG, M.Phil ...
odishatv.in
South Carolina campus scare: University issues all-clear after active ...
sochtimes.com
Solved Anna University Problems on closed systems (Non – Flow Processes ...
mech.poriyaan.in
Solved Anna University Problems on closed systems (cyclic process ...
mech.poriyaan.in
solved anna university problems on machining time - Turning Machines ...
mech.poriyaan.in
Solved Anna University Problems on Heat Engines, Refrigerators and Heat ...
mech.poriyaan.in
Solved Anna University Problems on Entropy principles - Thermodynamics
mech.poriyaan.in
Solved Anna University Problems on Gas Mixtures - Gas Mixtures and ...
mech.poriyaan.in
UHSR result 2025: University issues MBBS 1st prof gazette and revised ...
msn.com
Samsung Invites Applications for Solve for Tomorrow Innovation ...
news.samsung.com
Solved Anna University Problems on closed systems (Non – Flow Processes ...
mech.poriyaan.in
solved anna university problems on tool life - Mechanics of Metal ...
mech.poriyaan.in
Solved Anna University Problems on Entropy principles - Thermodynamics
mech.poriyaan.in
Solved Anna University Problems on closed systems (cyclic process ...
mech.poriyaan.in
Solved Anna University Problems on Gas Mixtures - Gas Mixtures and ...
mech.poriyaan.in
Solved Anna University Problems on Availability, Irreversibility and ...
mech.poriyaan.in
Solved Anna University Problems on Thermodynamic Processes
mech.poriyaan.in
Solved Anna University Problems on Thermodynamic Processes
mech.poriyaan.in
Delhi University issues strict campus guidelines after ministry's ...
msn.com
Solved Anna University Problems on Heat Engines, Refrigerators and Heat ...
mech.poriyaan.in
Diagnostic Centre & Pathology Lab Near Me | Clinocare Diagnostics
nearmelabs.in
Solved Anna University Problems on Thermodynamic Processes
mech.poriyaan.in
BM 3353 Final Exam Problems & Solutions for Electronic Devices - Studocu
studocu.com
Solved Anna University Problems on Gas Mixtures - Gas Mixtures and ...
mech.poriyaan.in
Solved Anna University Problems on Availability, Irreversibility and ...
mech.poriyaan.in
Anna university issues norms for certificate verification | Chennai ...
timesofindia.indiatimes.com
Orenburg State Medical University Issues Warning About Fake Documents ...
aninews.in
Solved Anna University Problems on Heat Engines, Refrigerators and Heat ...
mech.poriyaan.in
Solved Anna University Problems on Heat Engines, Refrigerators and Heat ...
mech.poriyaan.in
Solved Anna University Problems on Availability, Irreversibility and ...
mech.poriyaan.in
Solved Anna University Problems on Heat Engines, Refrigerators and Heat ...
mech.poriyaan.in
Solved Anna University Problems on Entropy principles - Thermodynamics
mech.poriyaan.in
Solved Anna University Problems on Thermodynamic Processes
mech.poriyaan.in
Pakistan University Issues Notice For Hindus Over Playing Holi Without ...
freepressjournal.in
Solved Anna University Problems on Gas Mixtures - Gas Mixtures and ...
mech.poriyaan.in
Solved Anna University Problems on Thermodynamic Processes
mech.poriyaan.in
solved anna university problems on tool life - Mechanics of Metal ...
mech.poriyaan.in
solved anna university problems on part programing - Programming of CNC ...
mech.poriyaan.in
O.P. Jindal Global University issues statement against unethical ...
aninews.in
Beware of Admission Frauds: IP University Issues Alert Against Touts ...
medicaldialogues.in
University issues new Title VI discrimination and harassment training ...
columbiaspectator.com
Solved Anna University Problems on Thermodynamic Processes
mech.poriyaan.in
Solved Anna University Problems on Heat Engines, Refrigerators and Heat ...
mech.poriyaan.in
Solved Anna University Problems on Entropy principles - Thermodynamics
mech.poriyaan.in
The Solution Point
thesolutionpoint.in
Solved Anna University Problems on Gas Mixtures - Gas Mixtures and ...
mech.poriyaan.in
Supreme Court issues notice to Finance Secretary in AAP govt's plea for ...
lawbeat.in
Solved Anna University Problems on Entropy principles - Thermodynamics
mech.poriyaan.in
Solved Anna University Problems on Thermodynamic Processes
mech.poriyaan.in
Solved Anna University Problems on Thermodynamic Processes
mech.poriyaan.in
Solved Anna University Problems on closed systems (cyclic process ...
mech.poriyaan.in
Solved Anna University Problems on Gas Mixtures - Gas Mixtures and ...
mech.poriyaan.in
Solved Anna University Problems on Gas Mixtures - Gas Mixtures and ...
mech.poriyaan.in
solved university problems - Thin Cylinders, Spheres and Thick ...
mech.poriyaan.in
Solved Anna University Problems on Entropy principles - Thermodynamics
mech.poriyaan.in
Delhi University issues strict warning against harassment ahead of Holi
msn.com
Solved Anna University Problems on Entropy principles - Thermodynamics
mech.poriyaan.in
Solved Anna University Problems on Thermodynamic Processes
mech.poriyaan.in
Anna University issues notification for MSc admissions
dtnext.in
solved anna university problems on part programing - Programming of CNC ...
mech.poriyaan.in
Solved Anna University Problems on Gas Mixtures - Gas Mixtures and ...
mech.poriyaan.in
Visva Bharati University Issues Apology Over Dress Code Violation At BR ...
freepressjournal.in
solved anna university problems on part programing - Programming of CNC ...
mech.poriyaan.in
RBI Issues Draft Guidelines on Forex Dealings & Announces Major ...
bankersadda.com
solved problems on milling process - Reciprocating Machine Tools ...
mech.poriyaan.in
200,000 bank job cuts: After tech industry shake-up, Morgan Stanley ...
economictimes.indiatimes.com
Solved Problems on Availability, Irreversibility and thermodynamic ...
mech.poriyaan.in
Solved Anna University Problems on Thermodynamic Processes
mech.poriyaan.in
Solved Anna University Problems on closed systems (cyclic process ...
mech.poriyaan.in
Solved Anna University Problems on Thermodynamic Processes
mech.poriyaan.in
Solved Anna University Problems on Gas Mixtures - Gas Mixtures and ...
mech.poriyaan.in
Solved Problems on Entropy - Thermodynamics
mech.poriyaan.in
Solved Anna University Problems on Gas Mixtures - Gas Mixtures and ...
mech.poriyaan.in
Solved Anna University Problems on Thermodynamic Processes
mech.poriyaan.in
Solved Anna University Problems on Heat Engines, Refrigerators and Heat ...
mech.poriyaan.in
Inb Billjunction Dot Com Tech_biljun Payments — Money Deducted but not ...
consumercomplaints.in
Solved Anna University Problems on Heat Engines, Refrigerators and Heat ...
mech.poriyaan.in
solved anna university problems on part programing - Programming of CNC ...
mech.poriyaan.in
Related Searches
WBU Logo
WBU University
WBU Football
WBU Meaning
EBU WBU
WBU Login
Wayland Baptist Logo
WBU Full Form
WBU Pioneers
WBU Meaning Texting
WBU Blackboard
WBU Seal
WBU Logo.png
WBU Belt
Timetable WBU
WBU Meaning in Chat
WBU Boxing
WBU Symbol
WBU Branch
WBU Gun
WBU Pioneer Logo
La WBU
Smart WBU
WBU APS System
WBU Pioneer Pete
WBU Conference
WBU Campus Life
WBU Blackboard Log In
WBU RGV
WBU Rest Defence
WBU School Colors
WBU Herstellung
WBU Dental Clinic
WBU Distribution
WBU in Chinese
Eriola WBU Student
WBU Imaging Technician
WBU EDU Logo
WBU Issues
WBU White Color
Wayland Baptist University Plainview TX
Al WBU
Wayland Baptist University Mascot
Wayland Baptist Nursing
WBU Eco Clean
How to Respond to WBU
WBU 91711
WBU the Best Actor
WPU Cet Logo
Wayland Baptist University Graduation
Search
×
Search
Loading...
No suggestions found